Última actualização :
31/03/2026
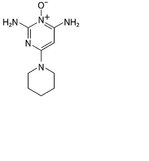
Vasodilatador   Minoxidil  
Solução Oral
Pomadas
Estabilidade de preparações farmacêuticas Estabilidade em misturas Factores que afectam a sua estabilidade Compatibilidade Bibliografía pdf
   estrutura química  

Solução Oral

Factores que afectam a sua estabilidade   Solução Oral   Factores que afectam a sua estabilidade : Minoxidil        
Ausência de dados

  Mentions Légales