Zadnji put ažurirano :
31/03/2026
vazodilatator   Minoxidil  
oralna otopina
masti
Stabilnost farmaceutskih pripravaka Stabilnost mješavine Stabilizacijski faktor Kompatibilnosti Bibliografija pdf
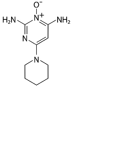
   Kemijska struktura  

oralna otopina

Stabilizacijski faktor   oralna otopina     Stabilizacijski faktor : Minoxidil        
bez podataka

  Mentions Légales