Последно актуализиране :
31/03/2026
Вазодилататор   Minoxidil  
Орален разтвор
Унгвент/Унгвенти
Стабилност на лекарствени препарати Стабилност на смеси Фактори, повлияващи стабилността Съвместимост Библиография Pdf
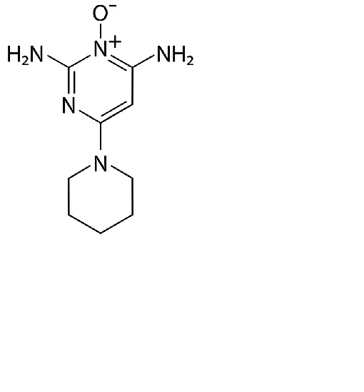
   Химична структура  

Орален разтвор

Фактори, повлияващи стабилността   Орален разтвор   Фактори, повлияващи стабилността : Minoxidil        
Няма данни

  Mentions Légales