Laatste update :
31/03/2026
Vaatverwijder   Minoxidil  
Orale Oplossing
zalf
Stabiliteit van farmaceutische preparaten Stabiliteit in mengsels Factoren die de stabiliteit beïnvloeden Verenigbaarheden Literatuur pdf
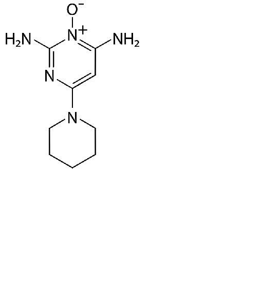
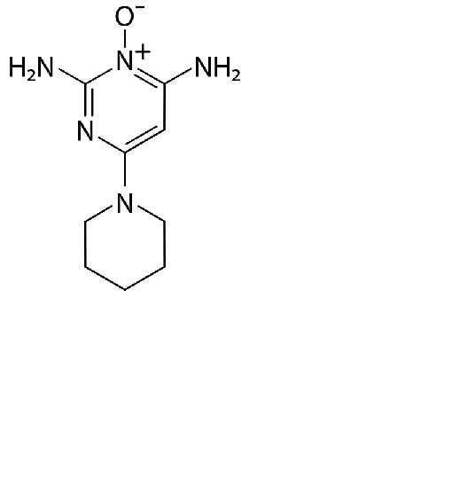
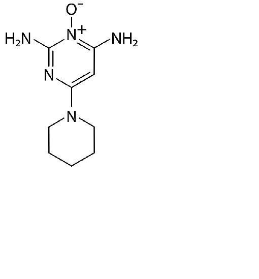
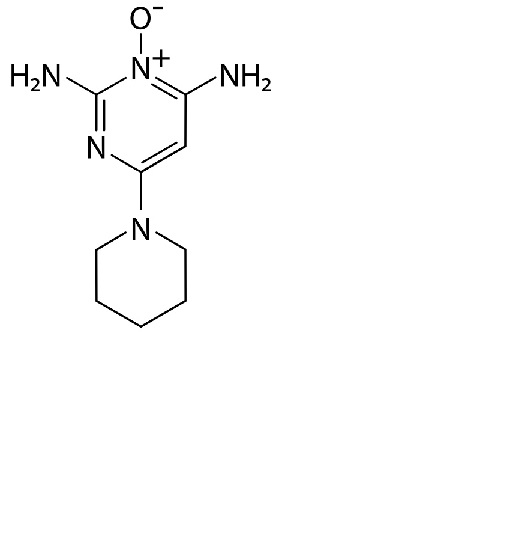
   Molecuulstructuur  

Orale Oplossing

Factoren die de stabiliteit beïnvloeden   Orale Oplossing   Factoren die de stabiliteit beïnvloeden : Minoxidil        
geen gegevens

  Mentions Légales