Viimeisin päivitys :
31/03/2026
Vasodilataattorit   Minoxidil  
Oraaliliuos
Salvat
Vakaus lääkevalmisteen Stabilius seoksissa Tekijät, jotka vaikuttavat stabiliuteen Yhteensopivuus Viitteet pdf
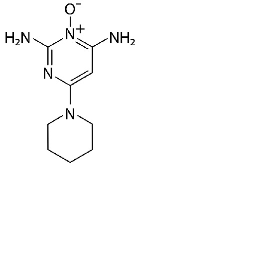
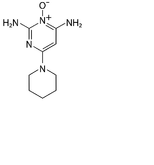
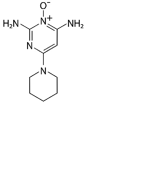
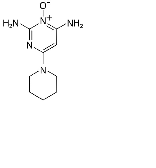
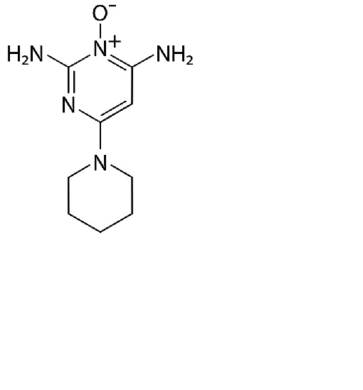
   Kemiallinen rakenne  

Oraaliliuos

Tekijät, jotka vaikuttavat stabiliuteen   Oraaliliuos   Tekijät, jotka vaikuttavat stabiliuteen : Minoxidil        
ei tietoa

  Mentions Légales