Senaste uppdateringen :
18/03/2026
Antihypertensivum   Nitrendipine  
Oral lösning
Stabilitet av läkemedel Stabilitet i blandningar Faktorer som påverkar stabiliteten Kompatibilitet Hänvisningar pdf
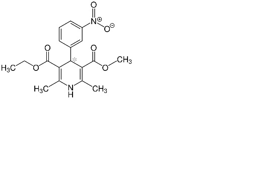
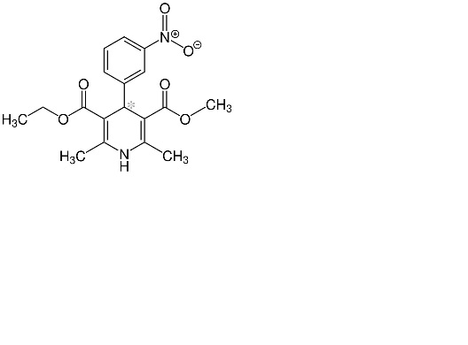
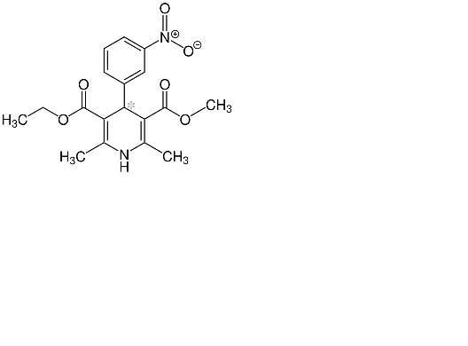
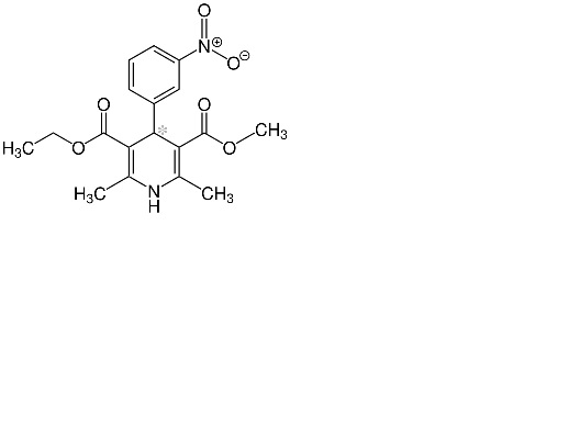
   Molekylstruktur  

Oral lösning
Kompatibilitet   Oral lösning   Kompatibilitet : Nitrendipine              
Ingen uppgift

  Mentions Légales