Τελευταία ενημέρωση :
18/03/2026
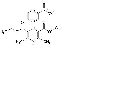
Αντιϋπερτασικό   Nitrendipine  
Πόσιμο διάλυμα
Σταθερότητα και συμβατότητα των φαρμάκων Σταθερότητα σε μίγματα Παράγοντας που επηρεάζει τη σταθερότητα Συμβατότητες Βιβλιογραφία pdf
   χημική δομή  

Πόσιμο διάλυμα
Συμβατότητες    Πόσιμο διάλυμα   Συμβατότητες : Nitrendipine              
Δεν υπάρχουν πληροφορίες

  Mentions Légales