Utolsó frissítés :
18/03/2026
Vérnyomáscsökkentő   Nitrendipine  
belsőleges oldat
Stabilitása gyógyszerészeti készítmények A keverékek stabilitása Stabilitást befolyásoló tényezők Kompatibilitás Irodalom pdf
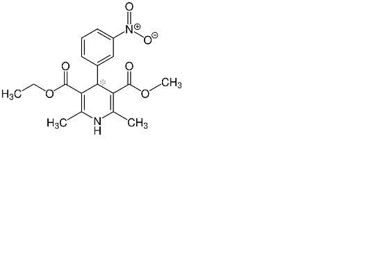
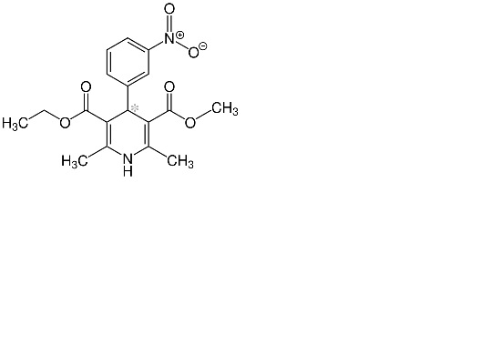
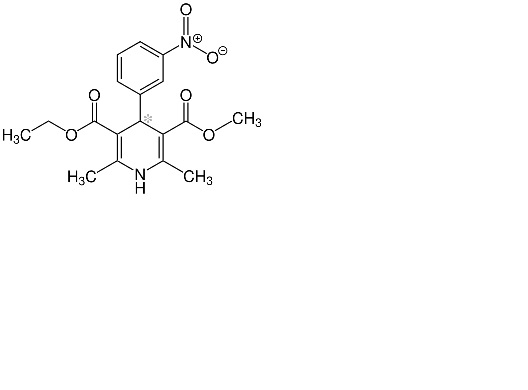
   Kémiai szerkezet   

belsőleges oldat
Kompatibilitás   belsőleges oldat   Kompatibilitás : Nitrendipine              
Hiányzó adat

  Mentions Légales