Siste oppdatering :
18/03/2026
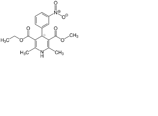
Antihypertensiva   Nitrendipine  
Mikstur
Stabilitet av farmasøytiske preparater Stabilitet i blandinger Faktorer som påvirker stabiliteten Kompatibilitet Referanser pdf
   Kjemisk struktur  

Mikstur
Kompatibilitet   Mikstur   Kompatibilitet : Nitrendipine              
Ingen opplysninger

  Mentions Légales