Seneste opdatering :
18/03/2026
Antihypertensiv   Nitrendipine  
Oral opløsning
Stabilitet af farmaceutiske tilberedninger Stabilitet i blandinger Faktorer der påvirker stabiliteten Kompatibilitet Bibliografi pdf
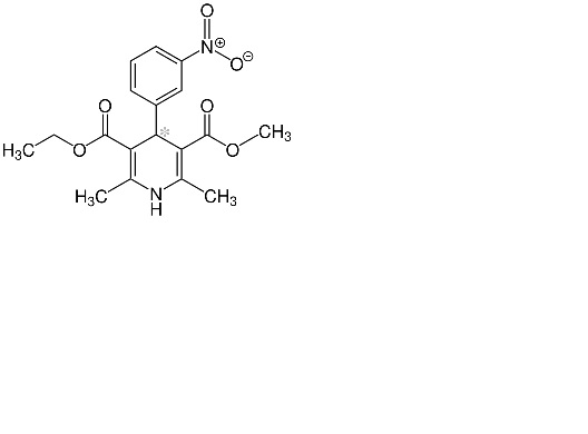
   Kemisk struktur  

Oral opløsning
Kompatibilitet   Oral opløsning   Kompatibilitet : Nitrendipine              
Ingen data

  Mentions Légales