zadnja posodobitev :
18/03/2026
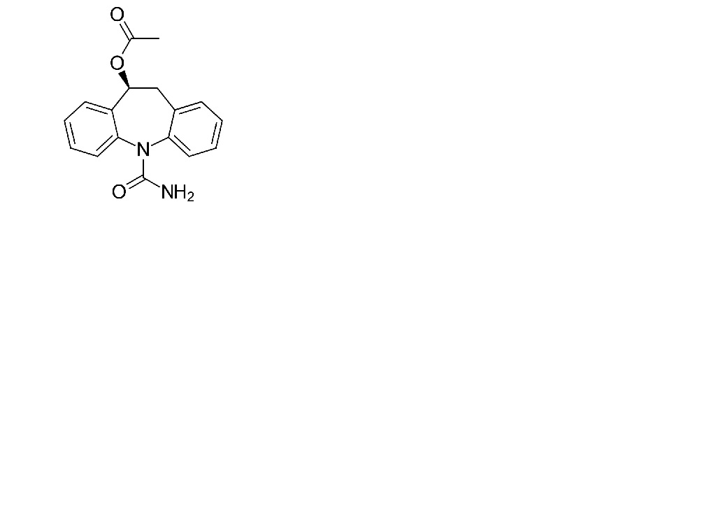
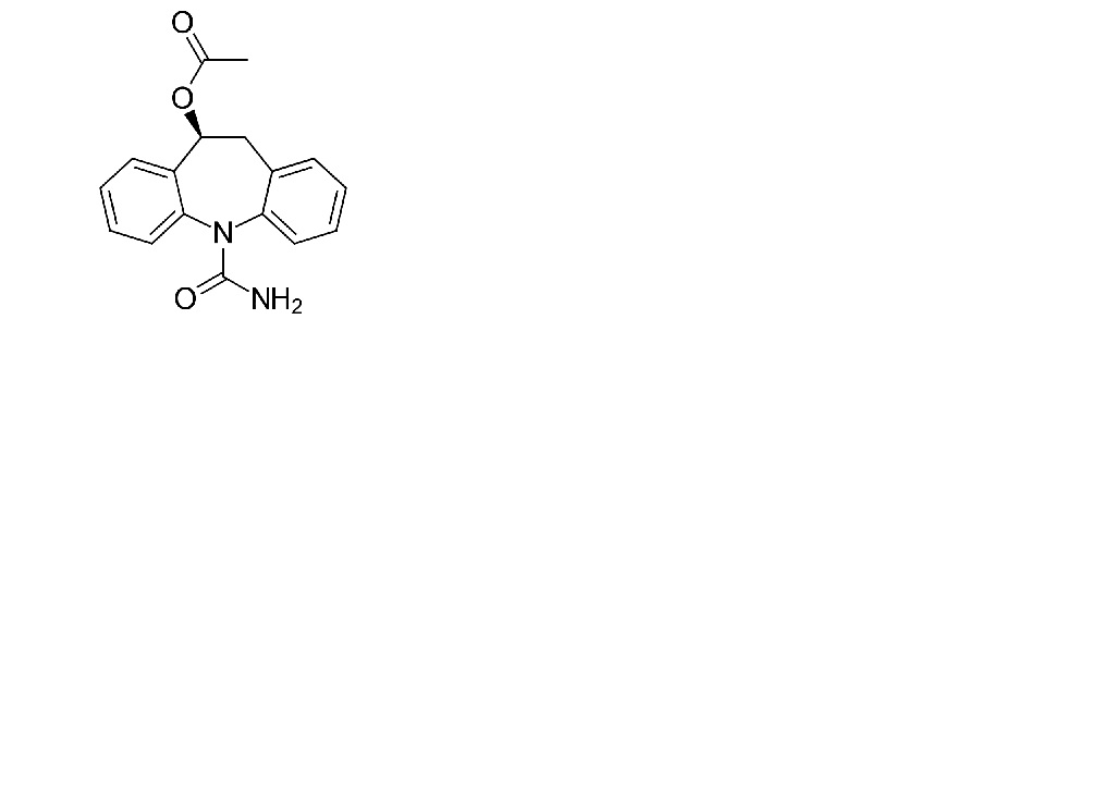
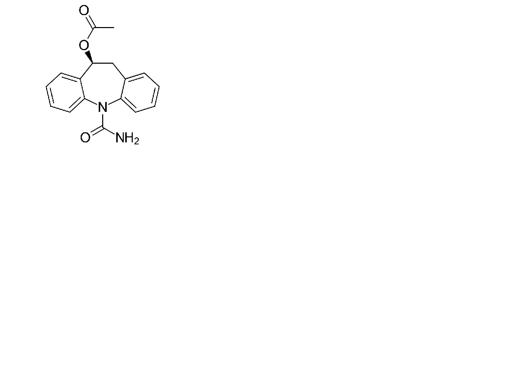
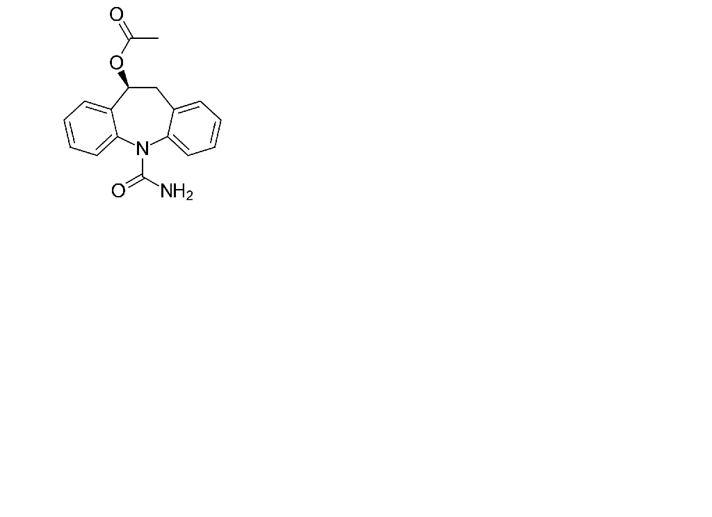
Antiepileptik   Eslicarbazepine acetate  
Peroralna raztopina
Stabilnost farmacevtskih preparatov Stabilnost mešanice Faktorji, ki vplivajo na stabilnost Kompatibilnost Viri pdf
   Kemična formula  

Peroralna raztopina
Kompatibilnost   Peroralna raztopina   Kompatibilnost : Eslicarbazepine acetate              
ni podatka

  Mentions Légales