Последнее обновление :
18/03/2026
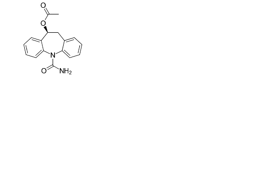
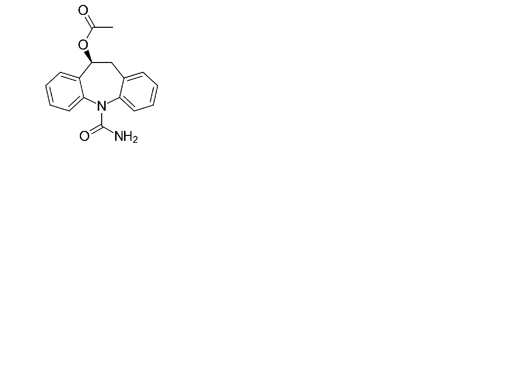
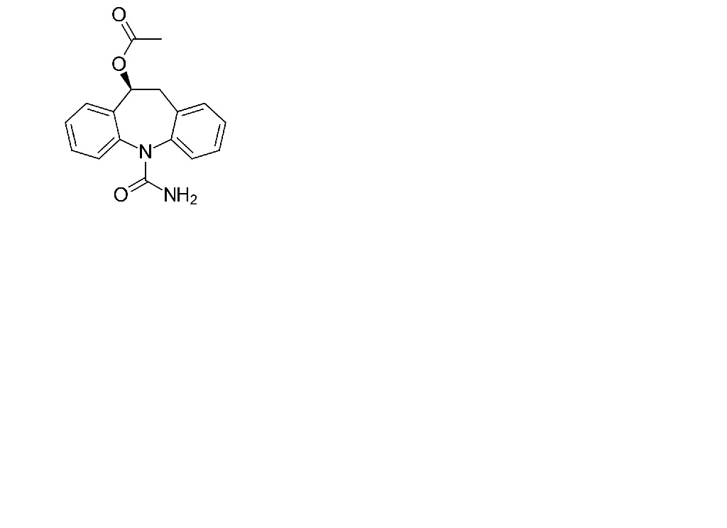
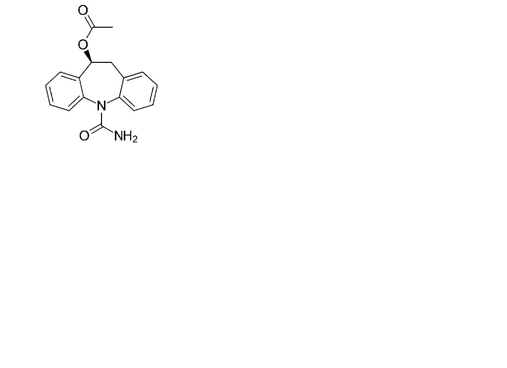
Противоэпилептическое средство   Eslicarbazepine acetate  
Раствор для перорального приёма
Стабильность фармацевтических препаратов Стабильность смесей Факторы, которые влияют на стабильность Совместимость Библиография pdf
   Химическая структура  

Раствор для перорального приёма
Совместимость   Раствор для перорального приёма   Совместимость : Eslicarbazepine acetate              
данных нет

  Mentions Légales