آخر تحديث :
18/03/2026
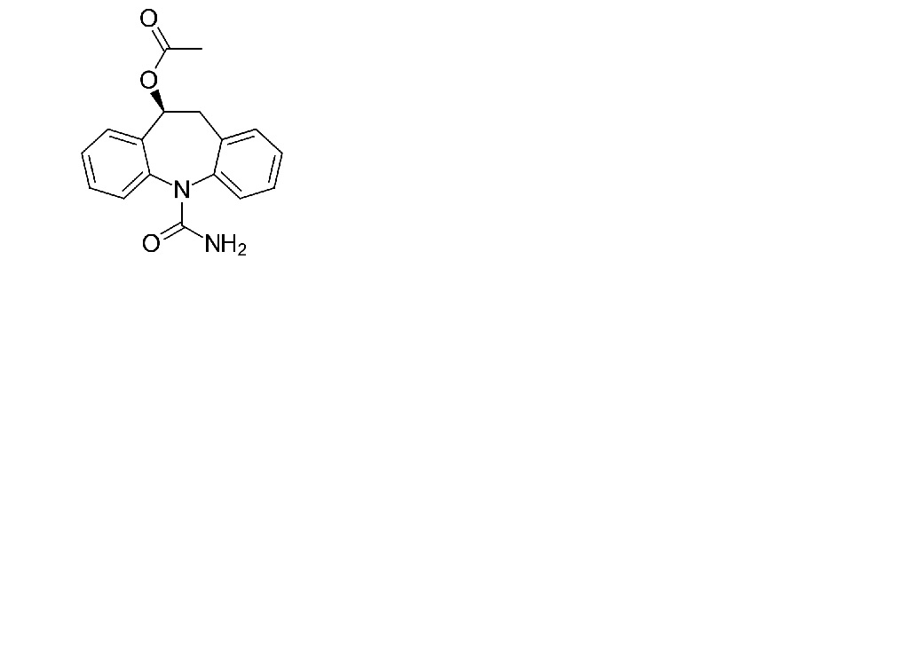
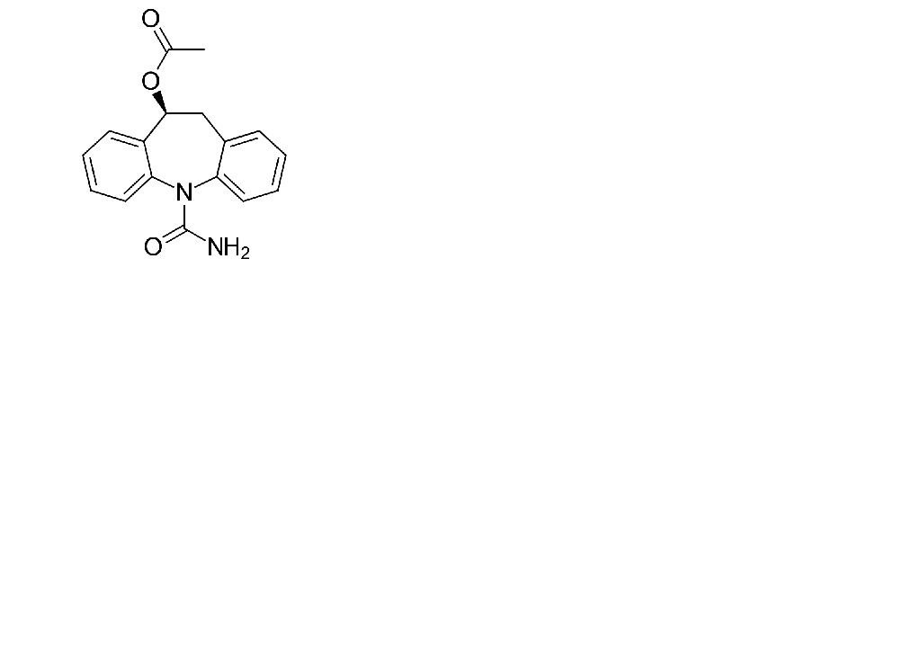
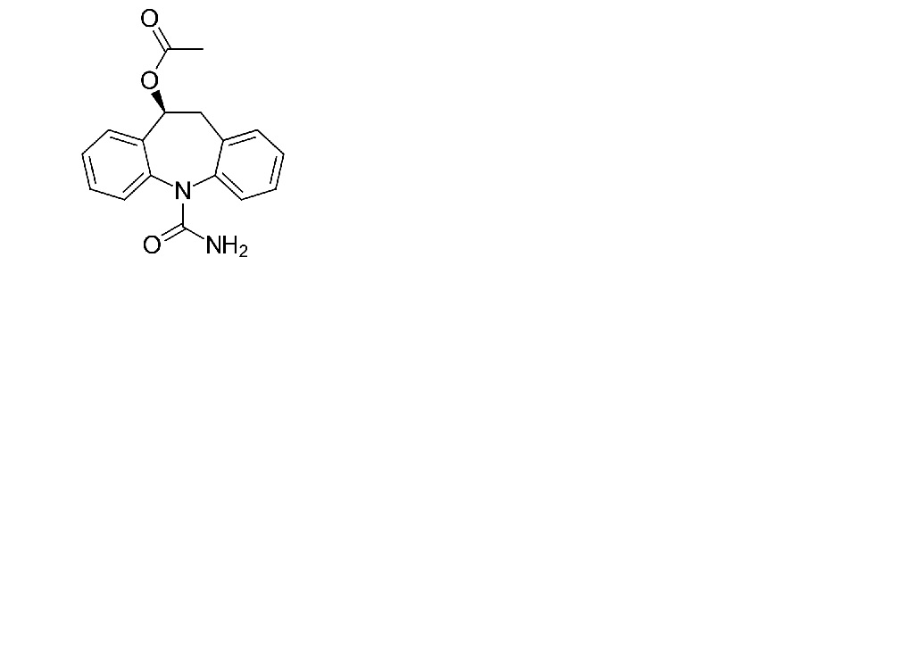
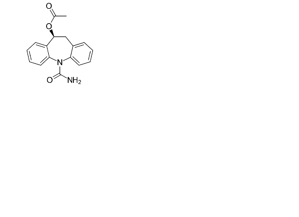
المضادة للصرع   Eslicarbazepine acetate  
عن طريق الفم
استقرار المستحضرات الصيدلانية استقرار مخاليط العوامل التي تؤثر على الاستقرار التوافق مراجع pdf
   التركيب الكيميائي  

عن طريق الفم
التوافق   عن طريق الفم     التوافق : Eslicarbazepine acetate              
لا توجد بيانات

  Mentions Légales