Pēdējā atjaunošana :
18/03/2026
Antiepileptiķis   Eslicarbazepine acetate  
Orāls šķīdums
Stabilitāte farmaceitisko preparātu Maisījuma stabilitāte Stabilitāti ietekmējoši faktori Saderība Literatūras saraksts pdf
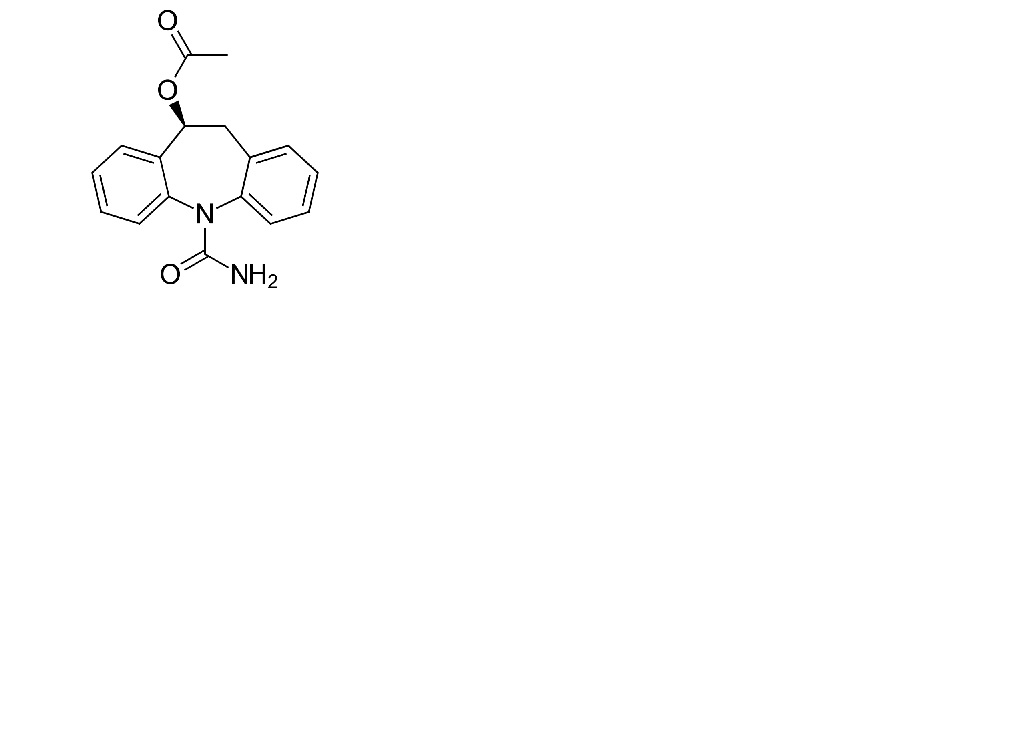
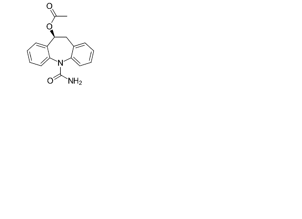
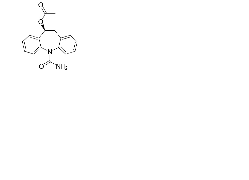
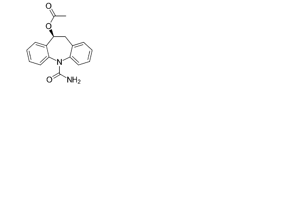
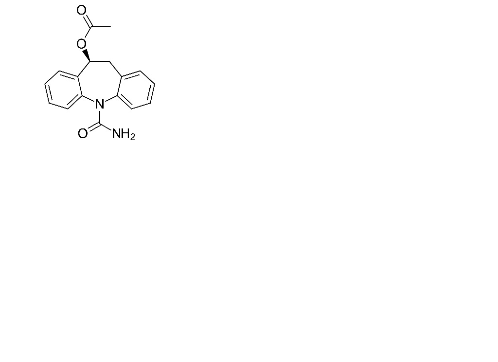
   Ķīmiskā uzbūve   

Orāls šķīdums
Saderība   Orāls šķīdums   Saderība : Eslicarbazepine acetate              
Nav datu

  Mentions Légales