Utolsó frissítés :
18/03/2026
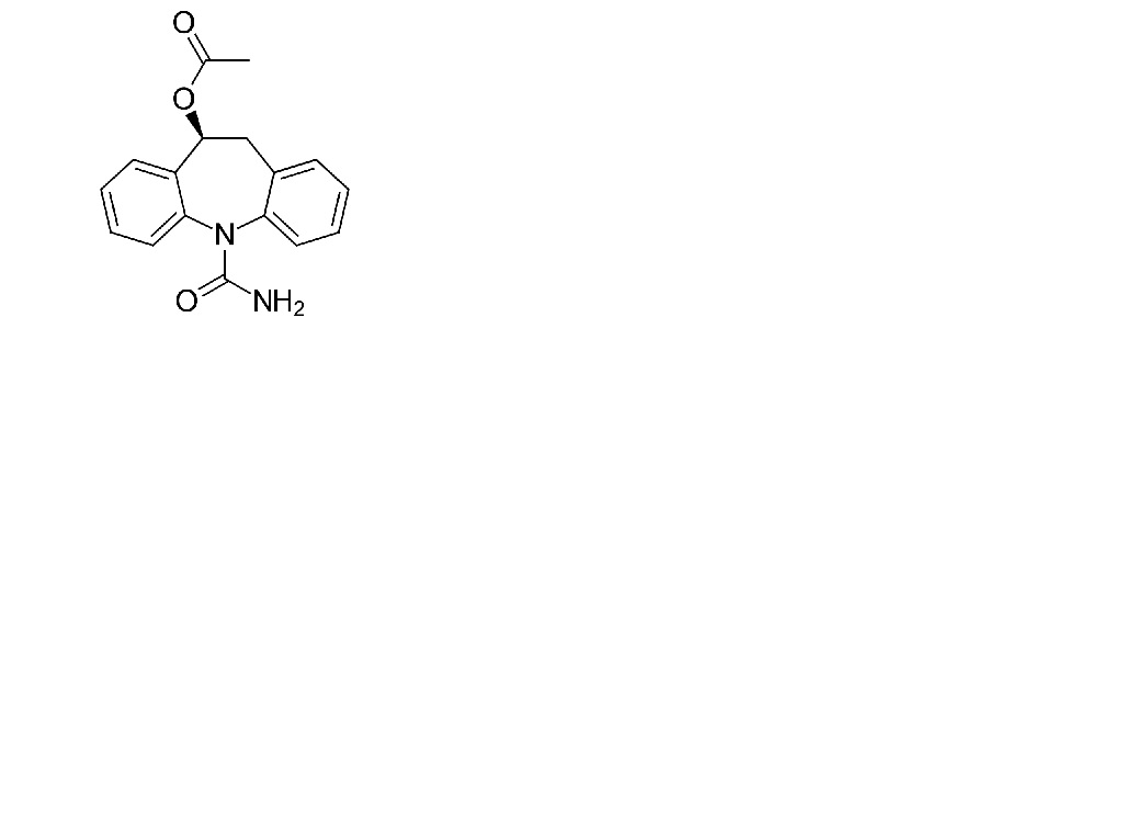
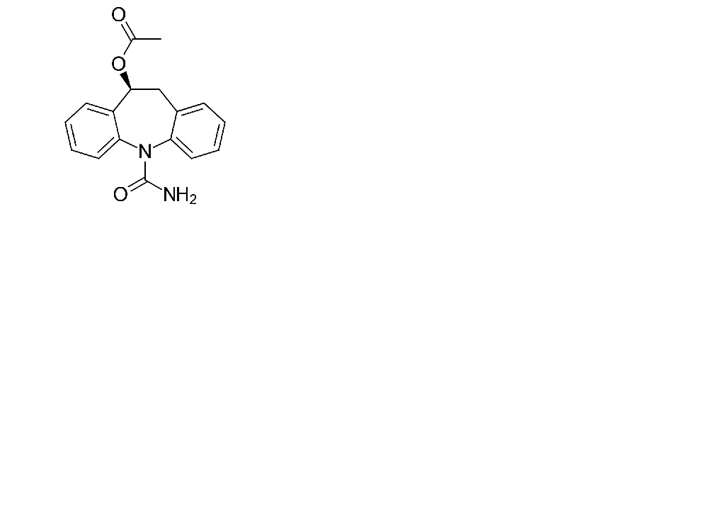
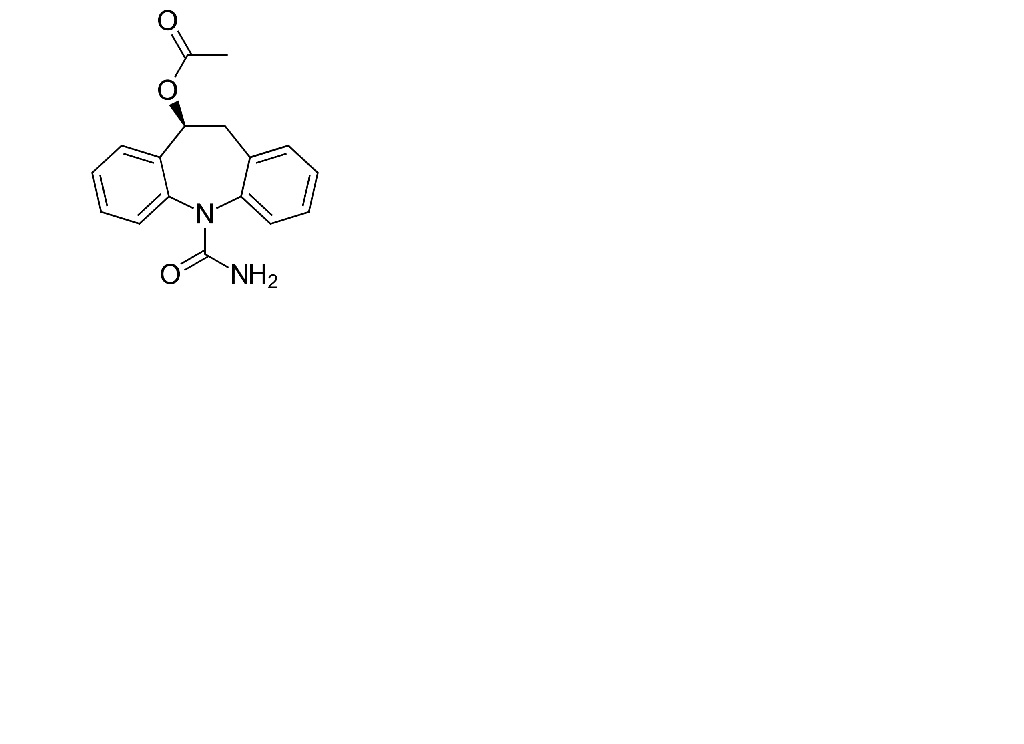
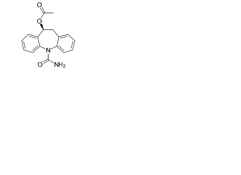
Antiepileptikum   Eslicarbazepine acetate  
belsőleges oldat
Stabilitása gyógyszerészeti készítmények A keverékek stabilitása Stabilitást befolyásoló tényezők Kompatibilitás Irodalom pdf
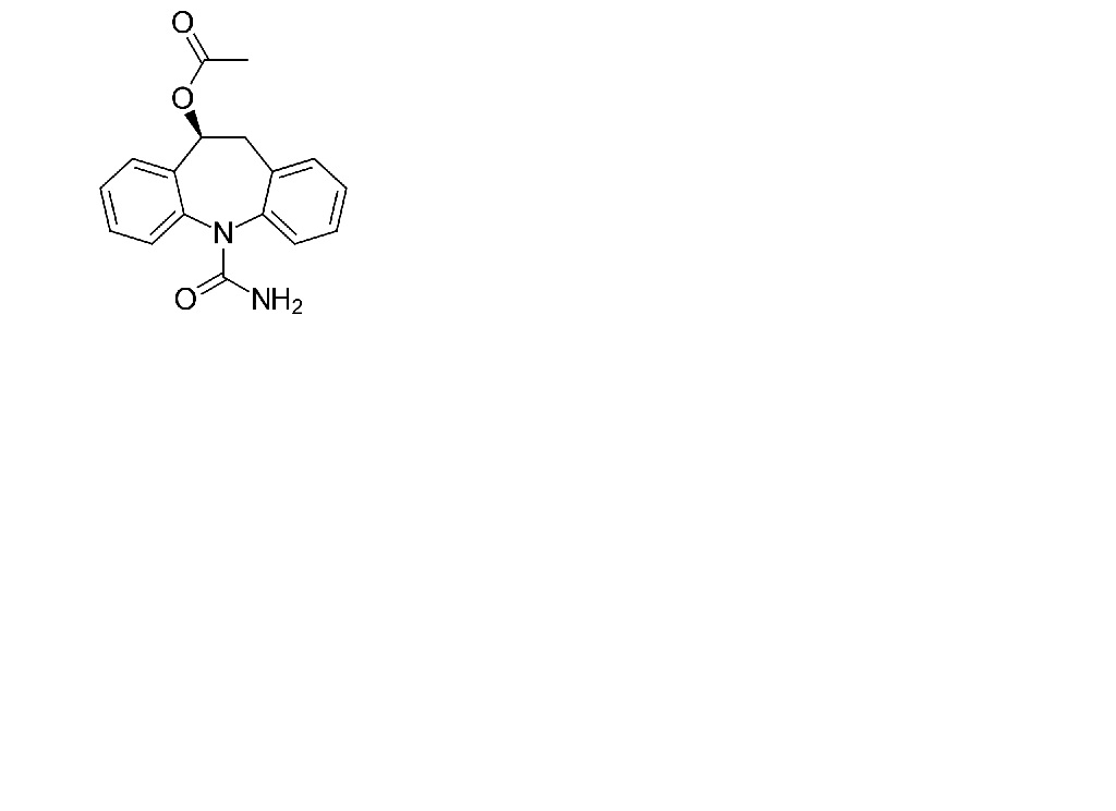
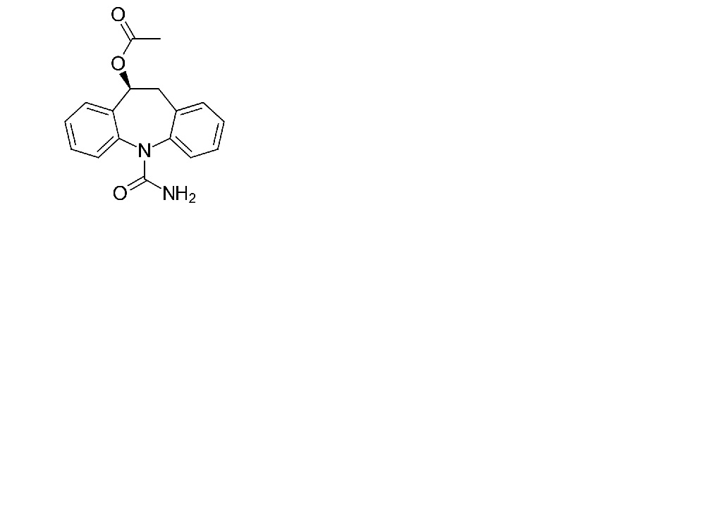
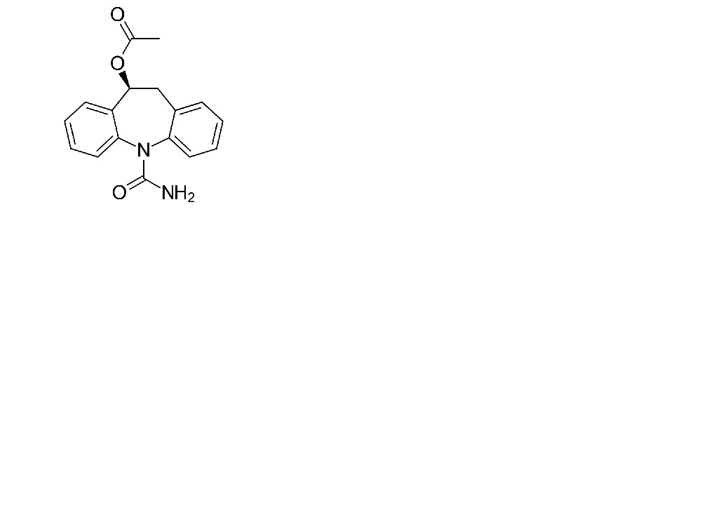
   Kémiai szerkezet   

belsőleges oldat
Kompatibilitás   belsőleges oldat   Kompatibilitás : Eslicarbazepine acetate              
Hiányzó adat

  Mentions Légales