Posledná aktualizácia :
18/03/2026
antiepileptikum   Topiramate  
Perorálny roztok
Stabilita farmaceutických prípravkov Stabilita v zmesiach Faktory ovplyvňujúce stabilitu Kompatibility Odkazy na literatúru PDF
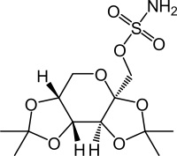
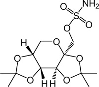
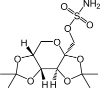
   Chemický vzorec  

Perorálny roztok
Kompatibility   Perorálny roztok   Kompatibility : Topiramate              
žiadne údaje

  Mentions Légales