Τελευταία ενημέρωση :
18/03/2026
Αντιεπιληπτικό   Topiramate  
Πόσιμο διάλυμα
Σταθερότητα και συμβατότητα των φαρμάκων Σταθερότητα σε μίγματα Παράγοντας που επηρεάζει τη σταθερότητα Συμβατότητες Βιβλιογραφία pdf
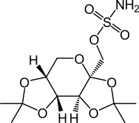
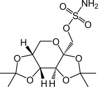
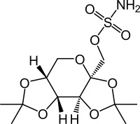
   χημική δομή  

Πόσιμο διάλυμα
Συμβατότητες    Πόσιμο διάλυμα   Συμβατότητες : Topiramate              
Δεν υπάρχουν πληροφορίες

  Mentions Légales