Ultimele actualizari :
18/03/2026
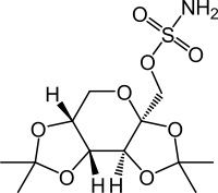
Antiepileptic   Topiramate  
Soluţie orală
Stabilitatea preparatelor farmaceutice Stabilitatea in amestec Factorii care influenteaza stabilitatea Compatibilitate Bibliografie pdf
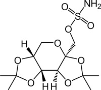
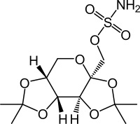
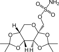
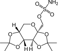
   Formula chimica  

Soluţie orală
Compatibilitate   Soluţie orală   Compatibilitate : Topiramate              
Absenta de date

  Mentions Légales