Pēdējā atjaunošana :
18/03/2026
Antiepileptiķis   Topiramate  
Orāls šķīdums
Stabilitāte farmaceitisko preparātu Maisījuma stabilitāte Stabilitāti ietekmējoši faktori Saderība Literatūras saraksts pdf
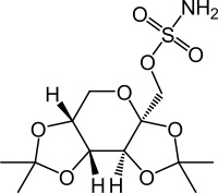
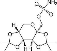
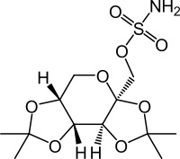
   Ķīmiskā uzbūve   

Orāls šķīdums
Saderība   Orāls šķīdums   Saderība : Topiramate              
Nav datu

  Mentions Légales