Ostatnia aktualizacja :
18/03/2026
środek przeciwpadaczkowy   Topiramate  
Roztwór doustny
Stabilność preparatów farmaceutycznych Trwałość w mieszaninie Czynnik wpływający na trwałość Zgodność Bibliografia pdf
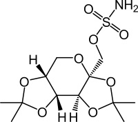
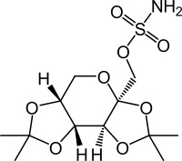
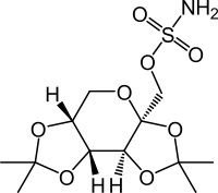
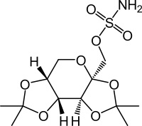
   Struktura chemiczna  

Roztwór doustny
Zgodność   Roztwór doustny   Zgodność : Topiramate              
Brak danych

  Mentions Légales