Posledná aktualizácia :
31/03/2026
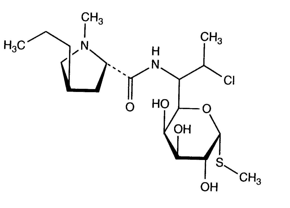
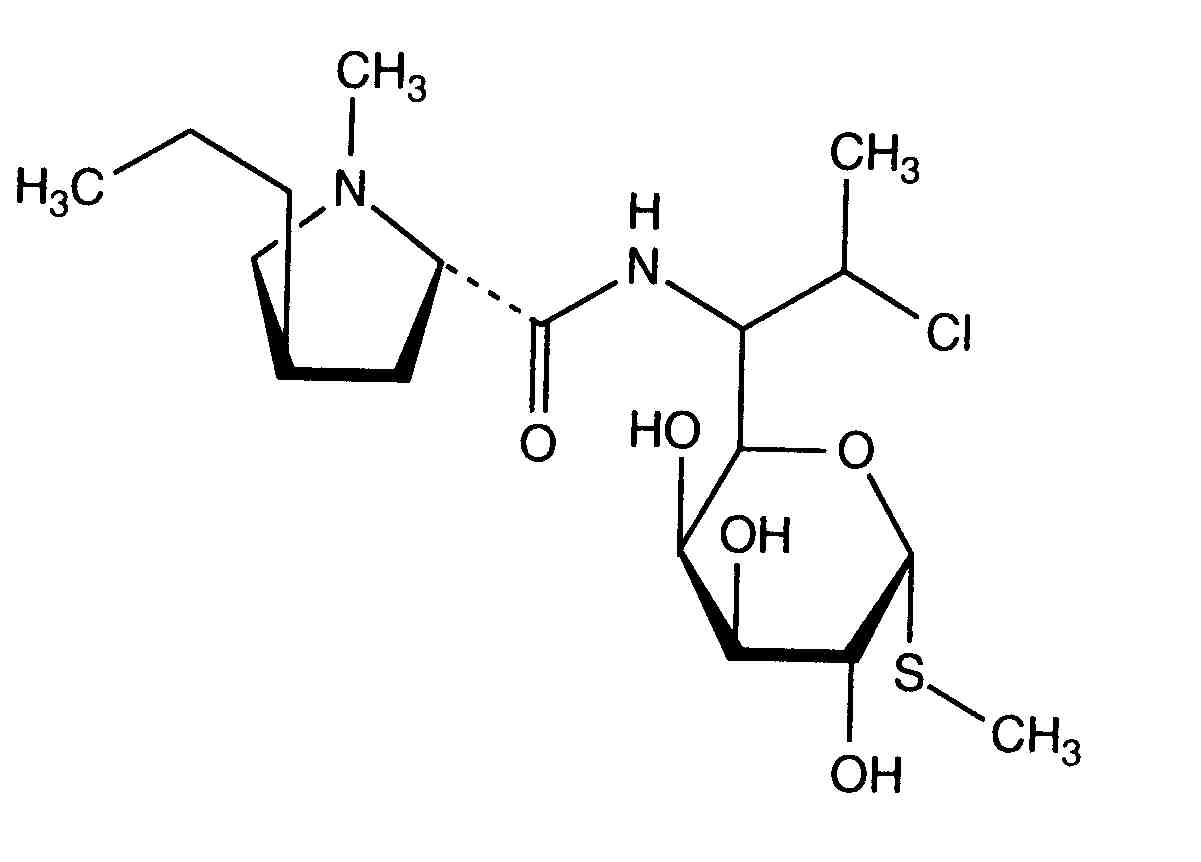
antibiotikum   Clindamycine hydrochloride  
Perorálny roztok
Stabilita farmaceutických prípravkov Stabilita v zmesiach Faktory ovplyvňujúce stabilitu Kompatibility Odkazy na literatúru PDF
   Chemický vzorec  

Perorálny roztok
Odkazy na literatúru   Perorálny roztok   Odkazy na literatúru : Clindamycine hydrochloride  
Typ Publikácia
3901 Časopis Pramar Yashoda V, Graves Richard A, Ledet Grace A, Phan Kelly V, Bostanian Levon A,Mandal Tarun K
Stability of Clindamycin Hydrochloride in PCCA Base SuspendIt
Int J Pharm Compound 2016 ; 20, 5 : 421-425.

  Mentions Légales