Poslední aktualizace :
31/03/2026
Antibiotikas   Clindamycine hydrochloride  
Geriamas tirpalas
Stabilumas farmacinių preparatų Mišinių stabilumas Stabilumą lemiantys veiksniai Suderinamumas Bibliografija pdf
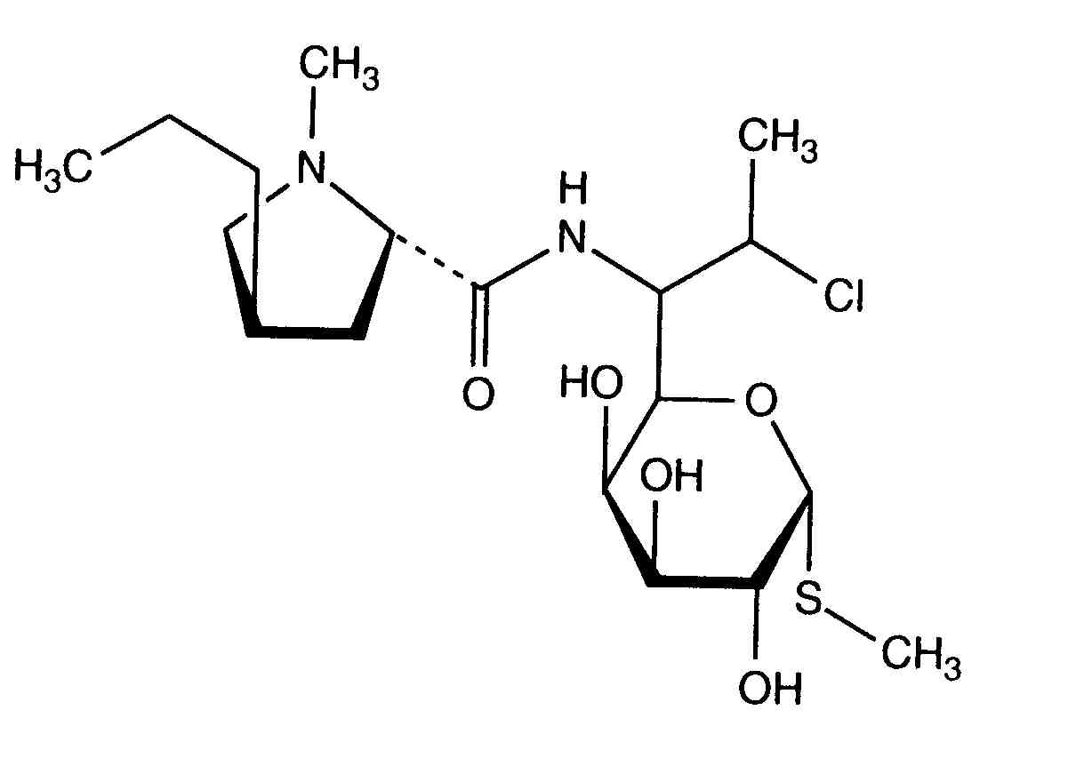
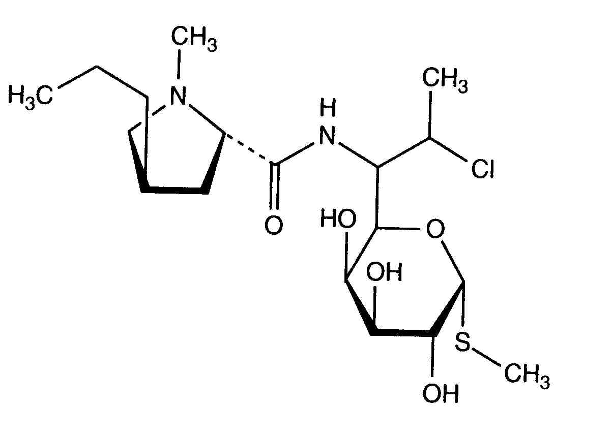
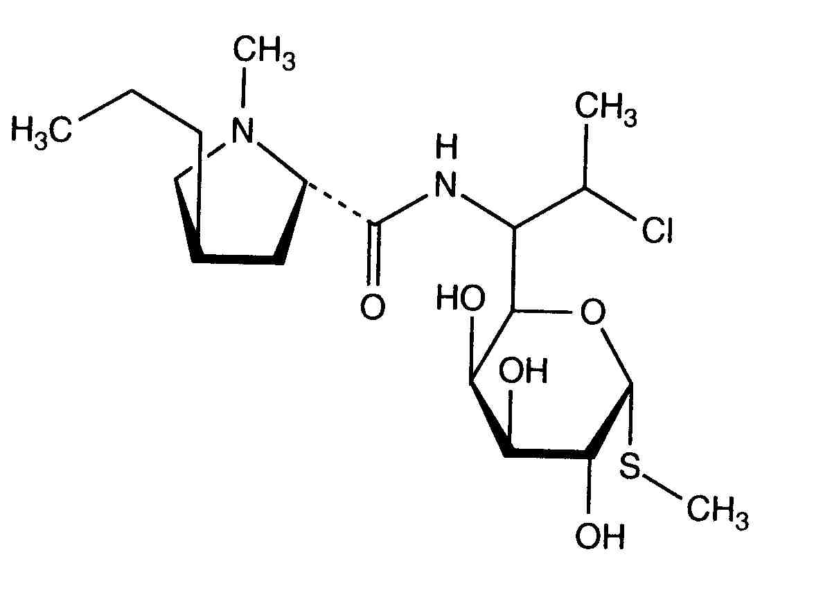
   Cheminė sandara  

Geriamas tirpalas
Bibliografija   Geriamas tirpalas   Bibliografija : Clindamycine hydrochloride  
tipas leidinys
3901 Žurnalas Pramar Yashoda V, Graves Richard A, Ledet Grace A, Phan Kelly V, Bostanian Levon A,Mandal Tarun K
Stability of Clindamycin Hydrochloride in PCCA Base SuspendIt
Int J Pharm Compound 2016 ; 20, 5 : 421-425.

  Mentions Légales