Poslední aktualizace :
31/03/2026
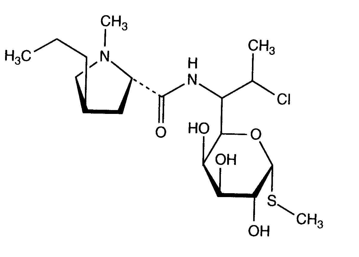
Antibiotikum   Clindamycine hydrochloride  
Perorální roztok
Stabilita farmaceutických přípravků Stabilita směsí Faktory ovlivňující stabilitu Kompatibilita Odkazy pdf
   Chemický vzorec  

Perorální roztok
Odkazy   Perorální roztok   Odkazy : Clindamycine hydrochloride  
typ uveřejnění
3901 noviny Pramar Yashoda V, Graves Richard A, Ledet Grace A, Phan Kelly V, Bostanian Levon A,Mandal Tarun K
Stability of Clindamycin Hydrochloride in PCCA Base SuspendIt
Int J Pharm Compound 2016 ; 20, 5 : 421-425.

  Mentions Légales