Ostatnia aktualizacja :
31/03/2026
Antybiotyk   Clindamycine hydrochloride  
Roztwór doustny
Stabilność preparatów farmaceutycznych Trwałość w mieszaninie Czynnik wpływający na trwałość Zgodność Bibliografia pdf
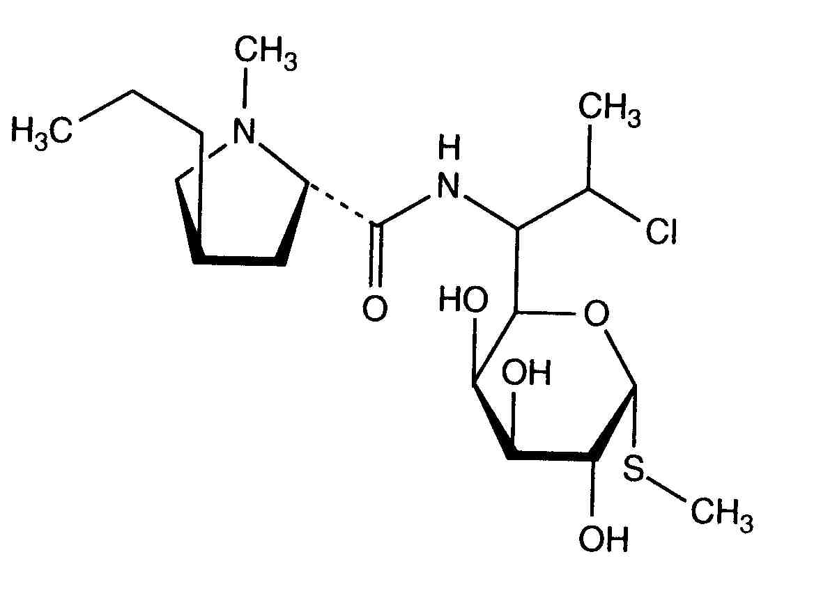
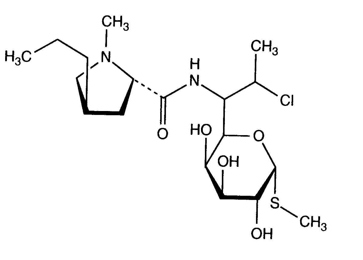
   Struktura chemiczna  

Roztwór doustny
Bibliografia   Roztwór doustny   Bibliografia : Clindamycine hydrochloride  
typ publikacja
3901 Czasopismo Pramar Yashoda V, Graves Richard A, Ledet Grace A, Phan Kelly V, Bostanian Levon A,Mandal Tarun K
Stability of Clindamycin Hydrochloride in PCCA Base SuspendIt
Int J Pharm Compound 2016 ; 20, 5 : 421-425.

  Mentions Légales