Dernière mise à jour :
17/12/2025
Vitamine   Cyanocobalamine  
injectable
Stabilité des solutions Stabilité en mélange Facteur influençant la stabilité Compatibilités Voie d’administration Bibliographie pdf
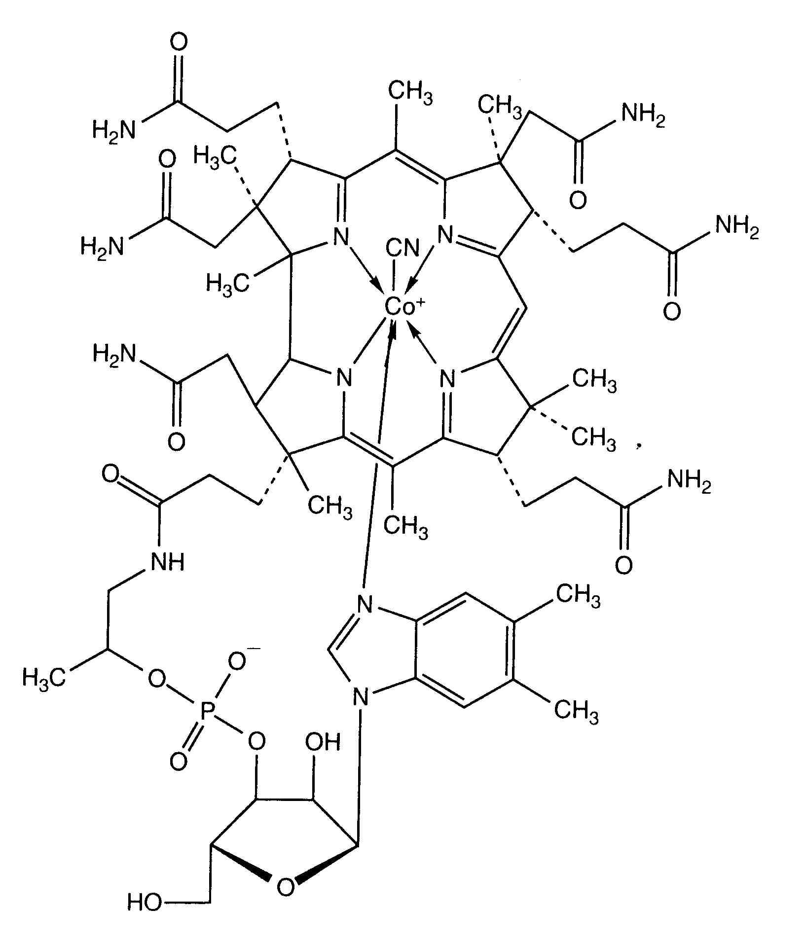
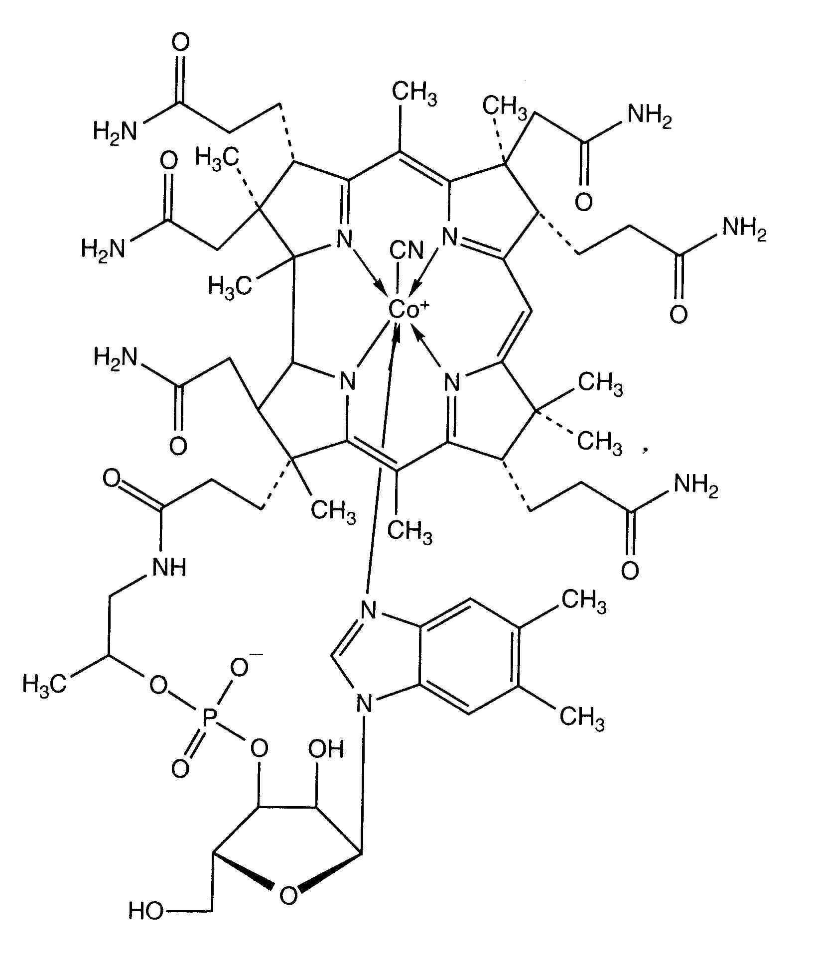
   Structure chimique  

Noms commerciaux   Noms commerciaux     

Les noms commerciaux sont donnés à titre indicatif et la composition en excipients peut être différente selon les pays et selon les laboratoires

Ambe 12 Allemagne
Ambene B Allemagne
B12 Ankermann Allemagne
B12 Asmedic Allemagne
B12 for injection Allemagne, Canada
B12 Vicotrat Allemagne
Beto 12 Egypte
Betolvex Arabie Saoudite, Danemark, Egypte, Emirats Arabes Unis , Finlande, Norvège, Suède, Suisse
Bitavion Iran
Cianocobalamina Chili, Colombie, Equateur, Vénézuela
Cidulvex Egypte
Citon Inde
Cobal Malaisie
Cobex Canada
Cozamon Vénézuela
Cromatonbic B12 Espagne
Cyanocobalamin Egypte, Etats Unis d’Amérique, Malaisie, Nouvelle Zélande
Cyanocobalamine France, Malaisie
Cyanvit Iran
Cynovit Arabie Saoudite, Emirats Arabes Unis
Cytamen Australie, Grande Bretagne, Irlande
Cytobion Allemagne, Arabie Saoudite
Dobetin Italie
Dodex Turquie
Droxofor Vénézuela
Duradoce Mexique
Emicobal Egypte
Hamo Vilobex Allemagne
Hidro Doce 5000 Vénézuela
Ibedox Vénézuela
L Vit 12 Inde
Lifaton B12 Espagne
Lophakomp B12 Allemagne
Optovite B12 Espagne
Osve Vitamin B12 Iran
Permadoze Portugal
Reedvit Argentine
Reiculoger Equateur, Espagne
Rowo Vitamin B12 Allemagne
Rubivamin Egypte, Etats Unis d’Amérique
Vibalmin Iran
Vicapan Allemagne
Viplex B12 Turquie
Vitakobal Turquie
Vitamina B12 Allemagne, Autriche, Belgique, Canada, Colombie, Emirats Arabes Unis , Equateur, Iran, Malaisie, Maroc, Norvège, Roumanie, Suisse, Tunisie, Vénézuela
Vitaminum B12 Pologne
Vitarubine Suisse
Stabilité des solutions   injectable   Stabilité des solutions : Cyanocobalamine     
Aucune donnée

  Mentions Légales