zadnja posodobitev :
18/03/2026
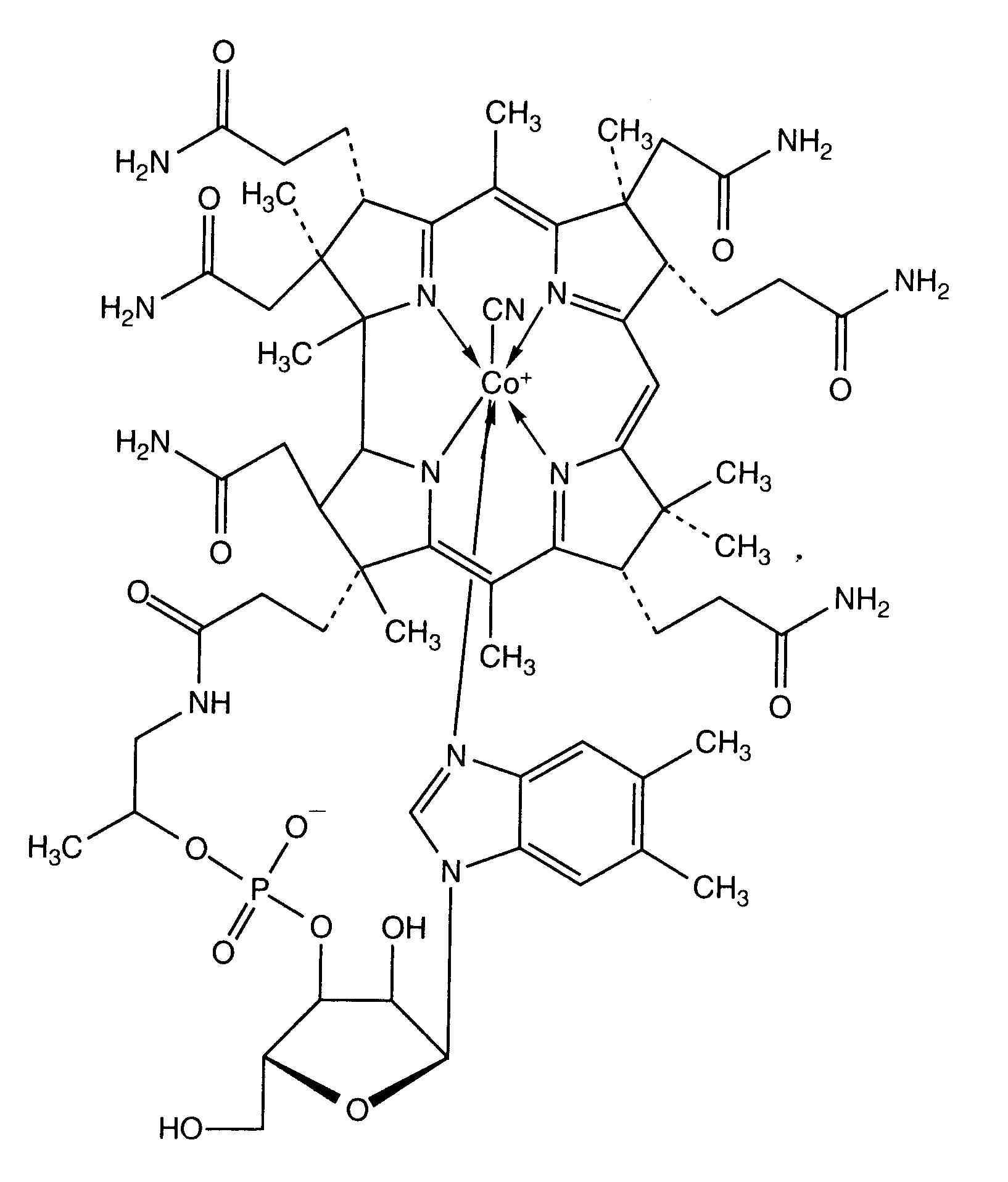
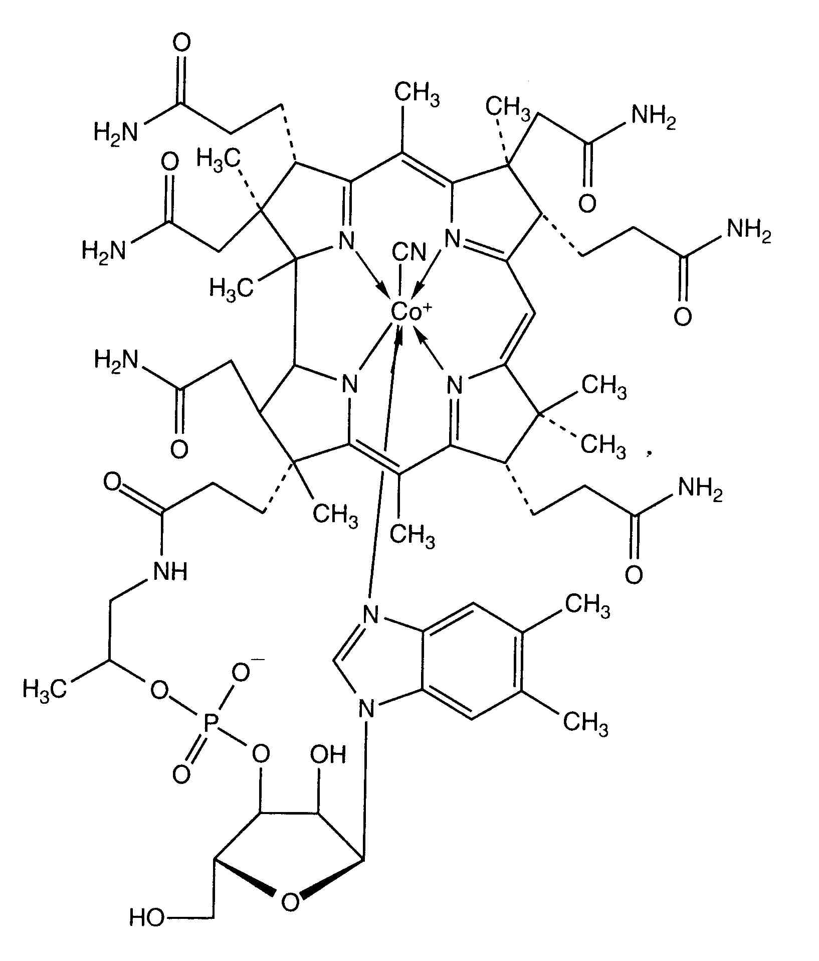
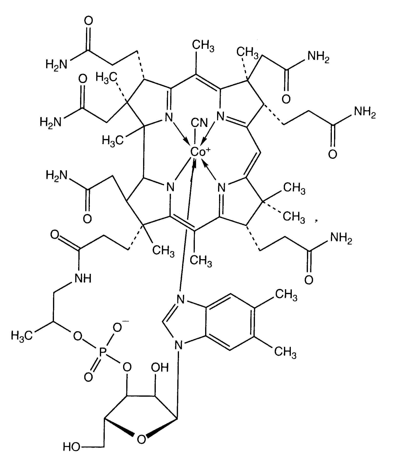
Vitamin   Cyanocobalamine  
Brizgalka
Stabilnost raztopine Stabilnost mešanice Faktorji, ki vplivajo na stabilnost Kompatibilnost način aplikacije Viri pdf
   Kemična formula  

Lastniško ime   Lastniško ime     

Sestava pomožnih snovi je med paralelami lahko različna

Ambe 12 Nemčija
Ambene B Nemčija
B12 Ankermann Nemčija
B12 Asmedic Nemčija
B12 for injection Kanada, Nemčija
B12 Vicotrat Nemčija
Beto 12 Egipt
Betolvex Danska, Egipt, Finska, Norveška, Savdska Arabija, Švedska, Švica, Združeni arabski emirati
Bitavion Iran
Cianocobalamina Čile, Ekvador, Kolumbija, Venezuela
Cidulvex Egipt
Citon Indija
Cobal Malezija
Cobex Kanada
Cozamon Venezuela
Cromatonbic B12 Španija
Cyanocobalamin Egipt, Malezija, nova Zelandija, Združene države Amerike
Cyanocobalamine Francija, Malezija
Cyanvit Iran
Cynovit Savdska Arabija, Združeni arabski emirati
Cytamen Avstralija, Irska, Velika Britanija
Cytobion Nemčija, Savdska Arabija
Dobetin Italija
Dodex Turčija
Droxofor Venezuela
Duradoce Mehika
Emicobal Egipt
Hamo Vilobex Nemčija
Hidro Doce 5000 Venezuela
Ibedox Venezuela
L Vit 12 Indija
Lifaton B12 Španija
Lophakomp B12 Nemčija
Optovite B12 Španija
Osve Vitamin B12 Iran
Permadoze Portugalska
Reedvit Argentina
Reiculoger Ekvador, Španija
Rowo Vitamin B12 Nemčija
Rubivamin Egipt, Združene države Amerike
Vibalmin Iran
Vicapan Nemčija
Viplex B12 Turčija
Vitakobal Turčija
Vitamina B12 Avstrija, Belgija, Ekvador, Iran, Kanada, Kolumbija, Malezija, Maroko, Nemčija, Norveška, Romunija, Švica, Tunizija, Venezuela, Združeni arabski emirati
Vitaminum B12 Poljska
Vitarubine Švica
Stabilnost raztopine   Brizgalka   Stabilnost raztopine : Cyanocobalamine     
ni podatka

  Mentions Légales