Останнє оновлення :
18/03/2026
Вітамін   Cyanocobalamine  
ін'єкція
Стійкість в розчинах Стійкість сумішей Фактори, що впливають на стабільність Сумісність Шлях введення Список літератури pdf
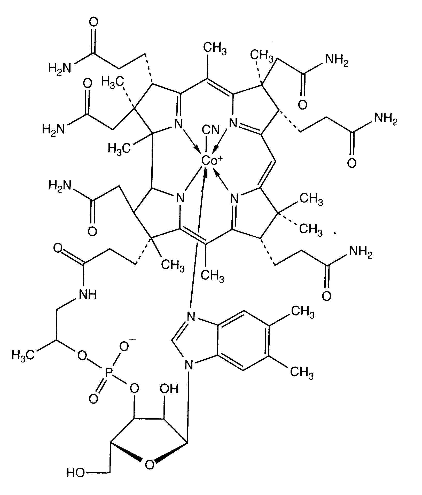
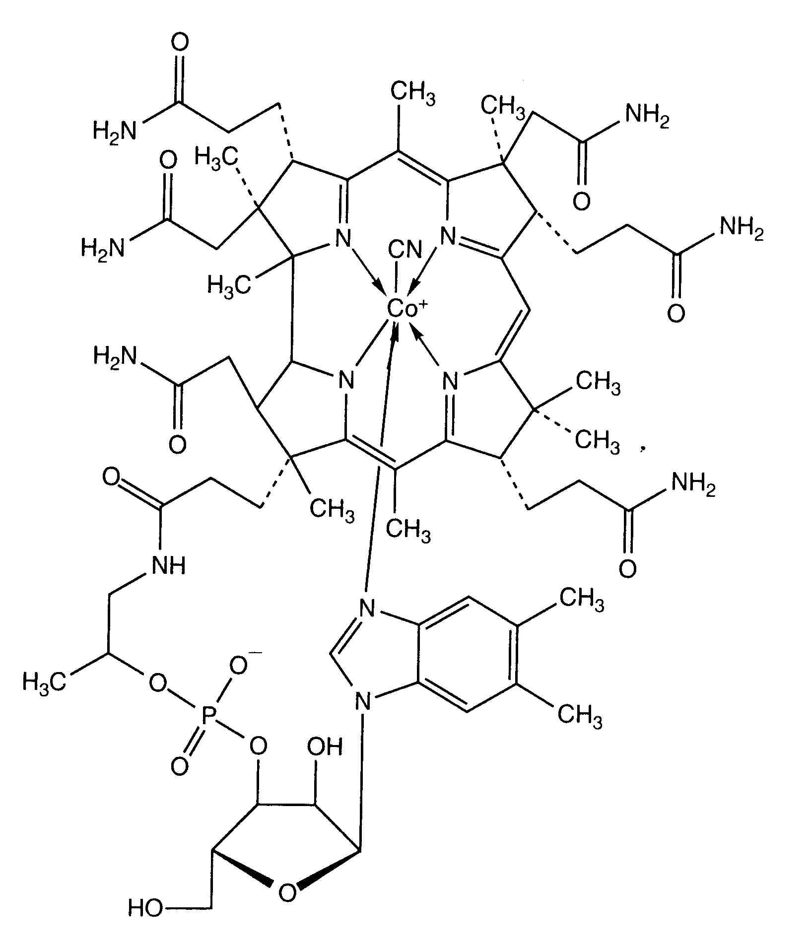
   Хімічна структура  

Торгова назва   Торгова назва     

Торгові назви є орієнтовними, а склад допоміжних речовин може бути різним залежно від країни та виробника

Ambe 12 Німеччина
Ambene B Німеччина
B12 Ankermann Німеччина
B12 Asmedic Німеччина
B12 for injection Канада, Німеччина
B12 Vicotrat Німеччина
Beto 12 Єгипет
Betolvex Єгипет, Данія, Норвегія, Об'єднані Арабські Емірати, Саудівська Аравія, Фінляндія, Швейцарія, Швеція
Bitavion Іран
Cianocobalamina Венесуела, Еквадор, Колумбія, Чилі
Cidulvex Єгипет
Citon Індія
Cobal Малайзія
Cobex Канада
Cozamon Венесуела
Cromatonbic B12 Іспанія
Cyanocobalamin Єгипет, Малайзія, Нова Зеландія, Сполучені Штати Америки
Cyanocobalamine Малайзія, Франція
Cyanvit Іран
Cynovit Об'єднані Арабські Емірати, Саудівська Аравія
Cytamen Ірландія, Австралія, Великобританія
Cytobion Німеччина, Саудівська Аравія
Dobetin Італія
Dodex Туреччина
Droxofor Венесуела
Duradoce Мексика
Emicobal Єгипет
Hamo Vilobex Німеччина
Hidro Doce 5000 Венесуела
Ibedox Венесуела
L Vit 12 Індія
Lifaton B12 Іспанія
Lophakomp B12 Німеччина
Optovite B12 Іспанія
Osve Vitamin B12 Іран
Permadoze Португалія
Reedvit Аргентина
Reiculoger Іспанія, Еквадор
Rowo Vitamin B12 Німеччина
Rubivamin Єгипет, Сполучені Штати Америки
Vibalmin Іран
Vicapan Німеччина
Viplex B12 Туреччина
Vitakobal Туреччина
Vitamina B12 Іран, Австрія, Бельгія, Венесуела, Еквадор, Канада, Колумбія, Малайзія, Марокко, Німеччина, Норвегія, Об'єднані Арабські Емірати, Румунія, Туніс, Швейцарія
Vitaminum B12 Польща
Vitarubine Швейцарія
Стійкість в розчинах   ін'єкція   Стійкість в розчинах : Cyanocobalamine     
7 / 5 000 Résultats de traduction Немає даних

  Mentions Légales