Última actualización :
27/11/2025
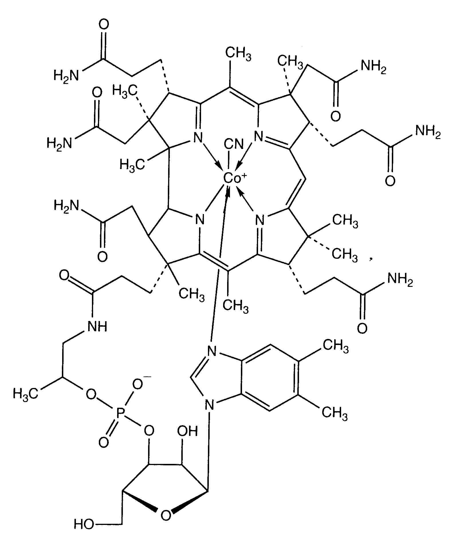
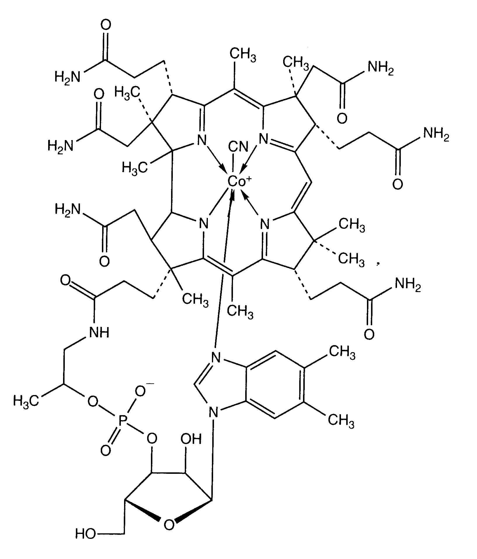
Vitamina   Cyanocobalamine  
Inyectables
Estabilidad en solucion Estabilidad en mezcla Factores que influyen sobre la estabilidad Compatibilidades método de inyección Bibliografía pdf
   Estructura química  

Nombre comercial   Nombre comercial     

Los nombres comerciales son orientativos y los excipientes de la formulación pueden ser distintos dependiendo del país y del laboratorio fabricante.

Ambe 12 Alemania
Ambene B Alemania
B12 Ankermann Alemania
B12 Asmedic Alemania
B12 for injection Alemania, Canadá
B12 Vicotrat Alemania
Beto 12 Egipto
Betolvex Arabia Saudita, Dinamarca, Egipto, Emiratos Árabes Unidos, Finlandia, Noruega, Suecia, Suiza
Bitavion Irán
Cianocobalamina Chile, Colombia, Ecuador, Venezuela
Cidulvex Egipto
Citon India
Cobal Malasia
Cobex Canadá
Cozamon Venezuela
Cromatonbic B12 España
Cyanocobalamin Egipto, Estados Unidos de América, Malasia, Nueva Zelanda
Cyanocobalamine Francia, Malasia
Cyanvit Irán
Cynovit Arabia Saudita, Emiratos Árabes Unidos
Cytamen Australia, Gran Bretaña, Irlanda
Cytobion Alemania, Arabia Saudita
Dobetin Italia
Dodex Turquía
Droxofor Venezuela
Duradoce México
Emicobal Egipto
Hamo Vilobex Alemania
Hidro Doce 5000 Venezuela
Ibedox Venezuela
L Vit 12 India
Lifaton B12 España
Lophakomp B12 Alemania
Optovite B12 España
Osve Vitamin B12 Irán
Permadoze Portugal
Reedvit Argentina
Reiculoger Ecuador, España
Rowo Vitamin B12 Alemania
Rubivamin Egipto, Estados Unidos de América
Vibalmin Irán
Vicapan Alemania
Viplex B12 Turquía
Vitakobal Turquía
Vitamina B12 Alemania, Austria, Bélgica, Canadá, Colombia, Ecuador, Emiratos Árabes Unidos, Irán, Malasia, Marruecos, Noruega, Rumania, Suiza, Túnez, Venezuela
Vitaminum B12 Polonia
Vitarubine Suiza
Estabilidad en solucion   Inyectables   Estabilidad en solucion : Cyanocobalamine     
Ausencia de datos

  Mentions Légales