Siste oppdatering :
05/12/2025
Vitamin   Phytomenadione  
Mikstur
Injeksjon
Stabilitet av farmasøytiske preparater Stabilitet i blandinger Faktorer som påvirker stabiliteten Kompatibilitet Referanser pdf
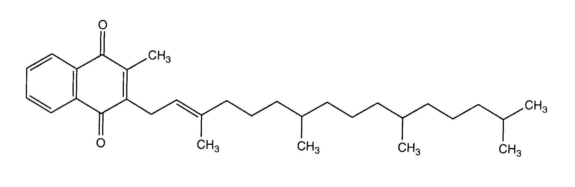
   Kjemisk struktur  

Mikstur
Stabilitet i blandinger   Mikstur   Stabilitet i blandinger : Phytomenadione     
Ingen opplysninger

  Mentions Légales