Poslední aktualizace :
05/12/2025
Infostab
Junginių sąrašas
Sąrašai
Ieškoti suderinamumo
Y formos suderinamumo lentelė
Bibliografija
Mokslinių tyrimų Komandos
valistab
plakatas
Jungtys
rėmėjai
Autorius
Naudojimo instrukcija
Biuletenį
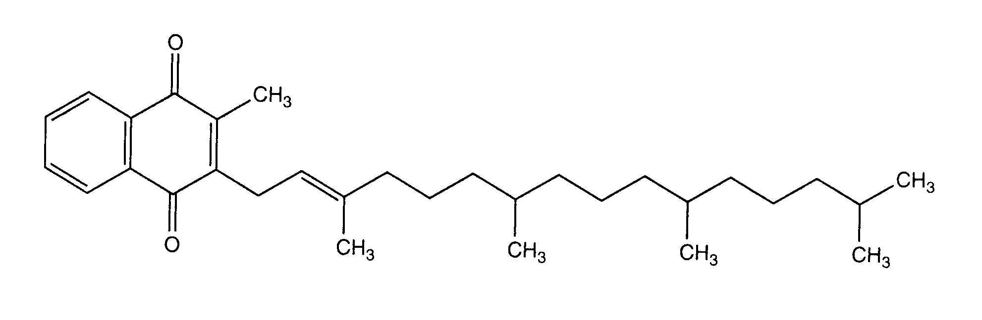
Phytomenadione
Cheminė sandara
Mišinių stabilumas : Phytomenadione
Nėra duomenų
Mentions Légales