Seneste opdatering :
18/03/2026
Vitamin   Phytomenadione  
Oral opløsning
Injektion
Stabilitet af farmaceutiske tilberedninger Stabilitet i blandinger Faktorer der påvirker stabiliteten Kompatibilitet Bibliografi pdf
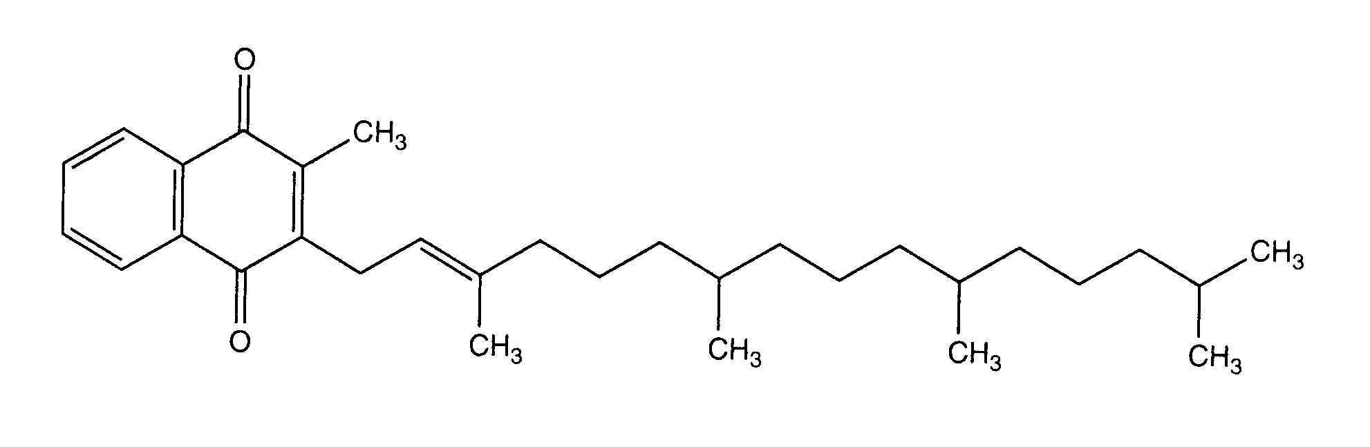
   Kemisk struktur  

Oral opløsning
Stabilitet i blandinger   Oral opløsning   Stabilitet i blandinger : Phytomenadione     
Ingen data

  Mentions Légales