Seneste opdatering :
18/03/2026
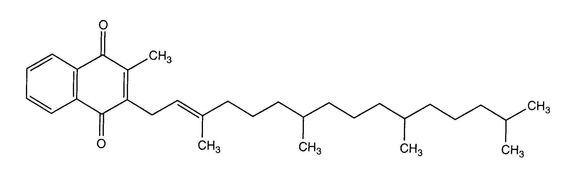
Vitamin   Phytomenadione  
Oral opløsning
Injektion
Stabilitet af farmaceutiske tilberedninger Stabilitet i blandinger Faktorer der påvirker stabiliteten Kompatibilitet Bibliografi pdf
   Kemisk struktur  

Oral opløsning
Bibliografi   Oral opløsning   Bibliografi : Phytomenadione  
Type offentliggørelse
2697 Journal Sewell GJ, Palmer AJ.
The formulation and stability of a unit-dose oral vitamin K1 preparation.
J Clin Pharm Ther 1988 ; 13, 1: 73-76.
4140 Journal Huffman J, Brown S, Lewis P, Lawson S, Ogle A, Peacock G.
Comparative Stability of Vitamin K1 Oral Liquids Prepared in Sterile Water for Injection and Stored in Amber Glass Bottles and Amber Plastic Syringes.
Int J Pharm Compound 2018 ;22,4:340-344
4317 Journal Lawson S, Lewis P, Peacock G, Brown S.
Comparative Stability of Oral Vitamin K Liquids Stored in Refrigerated Amber Plastic Syringes.
J Pharm Technol 2019 ;35,3:105-109

  Mentions Légales