Laatste update :
18/03/2026
Vitamine   Phytomenadione  
Orale Oplossing
injecteerbaar geneesmiddel
Stabiliteit van farmaceutische preparaten Stabiliteit in mengsels Factoren die de stabiliteit beïnvloeden Verenigbaarheden Literatuur pdf
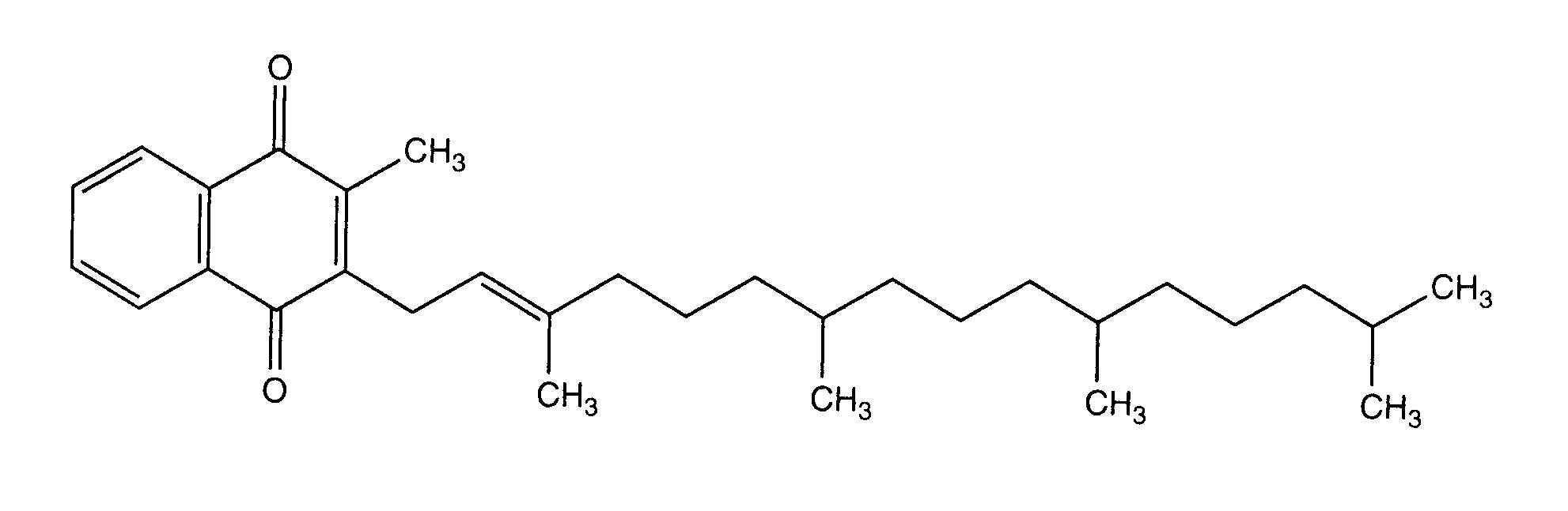
   Molecuulstructuur  

Orale Oplossing
Literatuur   Orale Oplossing   Literatuur : Phytomenadione  
type publicatie
2697 Artikel Sewell GJ, Palmer AJ.
The formulation and stability of a unit-dose oral vitamin K1 preparation.
J Clin Pharm Ther 1988 ; 13, 1: 73-76.
4140 Artikel Huffman J, Brown S, Lewis P, Lawson S, Ogle A, Peacock G.
Comparative Stability of Vitamin K1 Oral Liquids Prepared in Sterile Water for Injection and Stored in Amber Glass Bottles and Amber Plastic Syringes.
Int J Pharm Compound 2018 ;22,4:340-344
4317 Artikel Lawson S, Lewis P, Peacock G, Brown S.
Comparative Stability of Oral Vitamin K Liquids Stored in Refrigerated Amber Plastic Syringes.
J Pharm Technol 2019 ;35,3:105-109

  Mentions Légales