Last update :
27/11/2025
Various   N-acetylcysteine  
aerosol
Eye-drops injection Oral solution
Stability of pharmaceutical preparations Stability of mixtures Factors which affect stability Compatibility References pdf
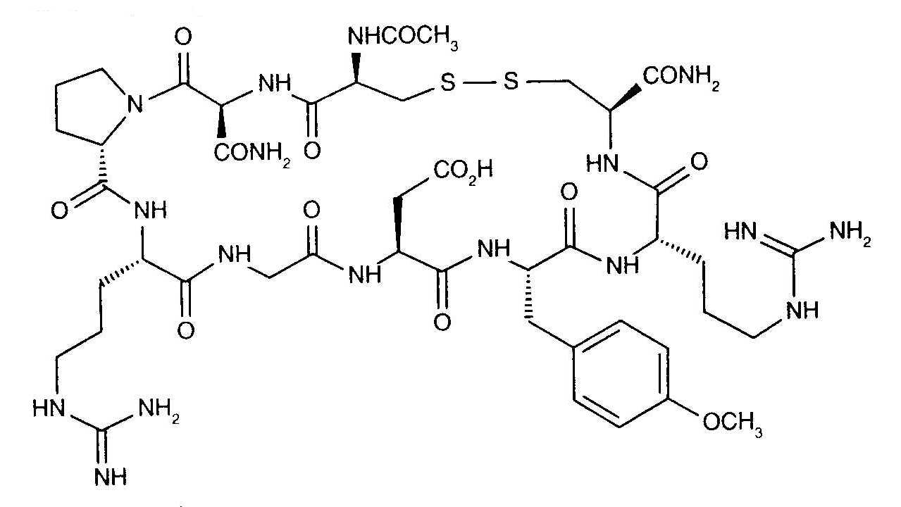
   Chemical structure  

aerosol
References   aerosol   References : N-acetylcysteine  
Type Publication
549 Journal Owsley HD, Rusho WJ.
Compatibility of common respiratory therapy drug combinations.
Int J Pharm Compound 1997 ; 1: 121-122.
2648 Journal Rieutord A, Arnaud P, Dauphin JF, Brion F.
Stability and compatibility of an aerosol mixture including N-acetylcysteine, netilmicin and betamethasone
Int J Pharm 1999 ; 190, 1: 103-107.
2787 Journal Lee TY, Chen CM, Lee CN, Chaing YC.
Compatibility and osmolality of inhaled N-acetylcysteine nebulizing solution with fenoterol and ipratropium.
Am J Health-Syst Pharm 2005 ; 62, 8: 828-833.
2803 Journal Bonasia PJ, McVicar WK, Williams B, Ong S.
Chemical and physical compatibility of levalbuterol inhalation solution concentrate mixed with budesonide, ipratropium bromide, cromolyn sodium or acetylcysteine sodium.
Respiratory Care 2008 ; 683, 12: 1716-1722.
3019 Journal Bonasia P, Cook C, Cheng Y et al.
Compatibility of arformoterol tartrate inhalation solution with three nebulized drugs.
Curr Med Res Opin 2007 ; 23: 2477-2483.
3498 Journal Akapo S, Gupta J, martinez E, Mccrea C, Ye L, Roach M
Compatibility and aerosol characteristics of formoterol fumarate mixed with other nebulizing solutions.
Ann Pharmacotherapy 2008 ; 42, 10: 1416-1424.

  Mentions Légales