Последно актуализиране :
27/11/2025
Други   N-acetylcysteine  
Аерозол
Инжекция/Инжекционен Капки за очи Орален разтвор
Стабилност на лекарствени препарати Стабилност на смеси Фактори, повлияващи стабилността Съвместимост Библиография Pdf
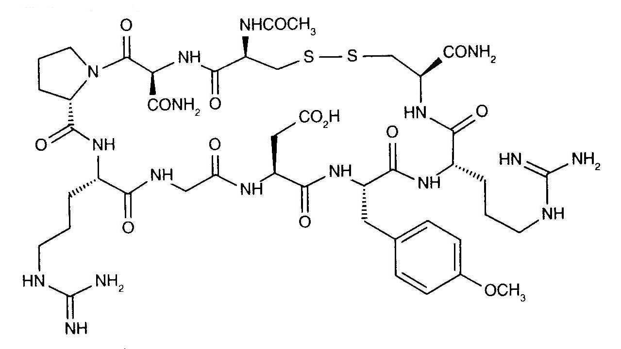
   Химична структура  

Аерозол
Библиография   Аерозол   Библиография : N-acetylcysteine  
Вид Публикация
549 Списание Owsley HD, Rusho WJ.
Compatibility of common respiratory therapy drug combinations.
Int J Pharm Compound 1997 ; 1: 121-122.
2648 Списание Rieutord A, Arnaud P, Dauphin JF, Brion F.
Stability and compatibility of an aerosol mixture including N-acetylcysteine, netilmicin and betamethasone
Int J Pharm 1999 ; 190, 1: 103-107.
2787 Списание Lee TY, Chen CM, Lee CN, Chaing YC.
Compatibility and osmolality of inhaled N-acetylcysteine nebulizing solution with fenoterol and ipratropium.
Am J Health-Syst Pharm 2005 ; 62, 8: 828-833.
2803 Списание Bonasia PJ, McVicar WK, Williams B, Ong S.
Chemical and physical compatibility of levalbuterol inhalation solution concentrate mixed with budesonide, ipratropium bromide, cromolyn sodium or acetylcysteine sodium.
Respiratory Care 2008 ; 683, 12: 1716-1722.
3019 Списание Bonasia P, Cook C, Cheng Y et al.
Compatibility of arformoterol tartrate inhalation solution with three nebulized drugs.
Curr Med Res Opin 2007 ; 23: 2477-2483.
3498 Списание Akapo S, Gupta J, martinez E, Mccrea C, Ye L, Roach M
Compatibility and aerosol characteristics of formoterol fumarate mixed with other nebulizing solutions.
Ann Pharmacotherapy 2008 ; 42, 10: 1416-1424.

  Mentions Légales