Posledná aktualizácia :
18/03/2026
neuroleptikum   Thiothixene  
Perorálny roztok
Stabilita farmaceutických prípravkov Stabilita v zmesiach Faktory ovplyvňujúce stabilitu Kompatibility Odkazy na literatúru PDF
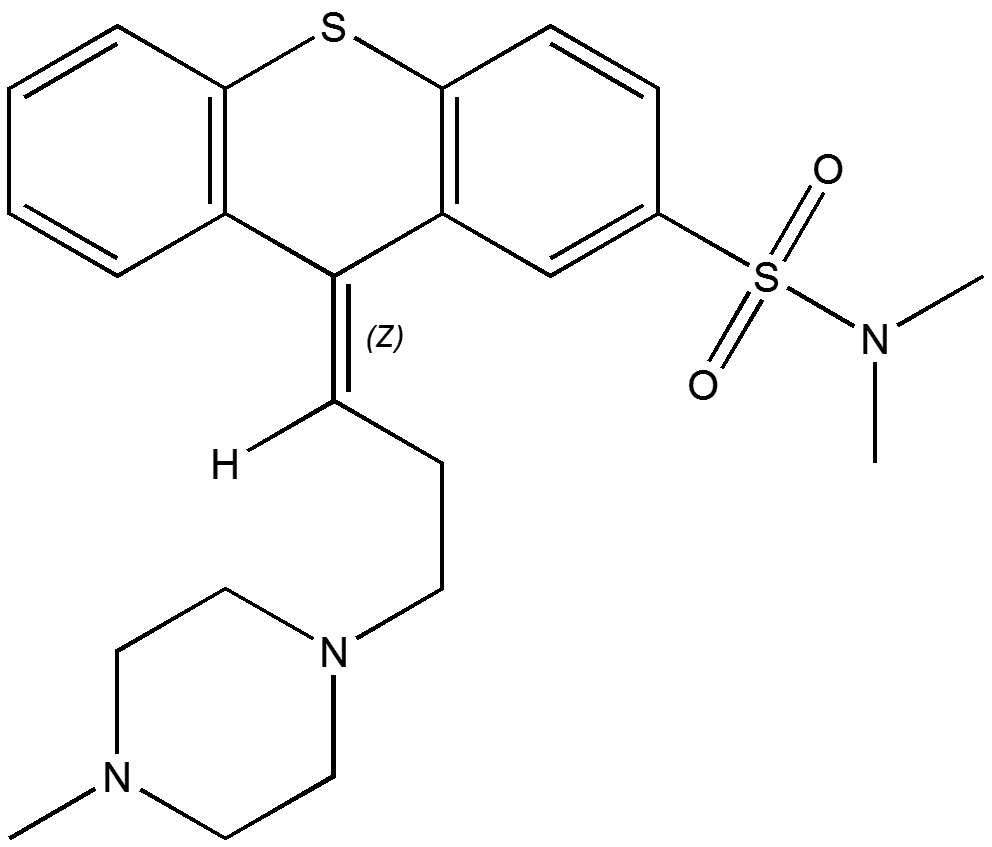
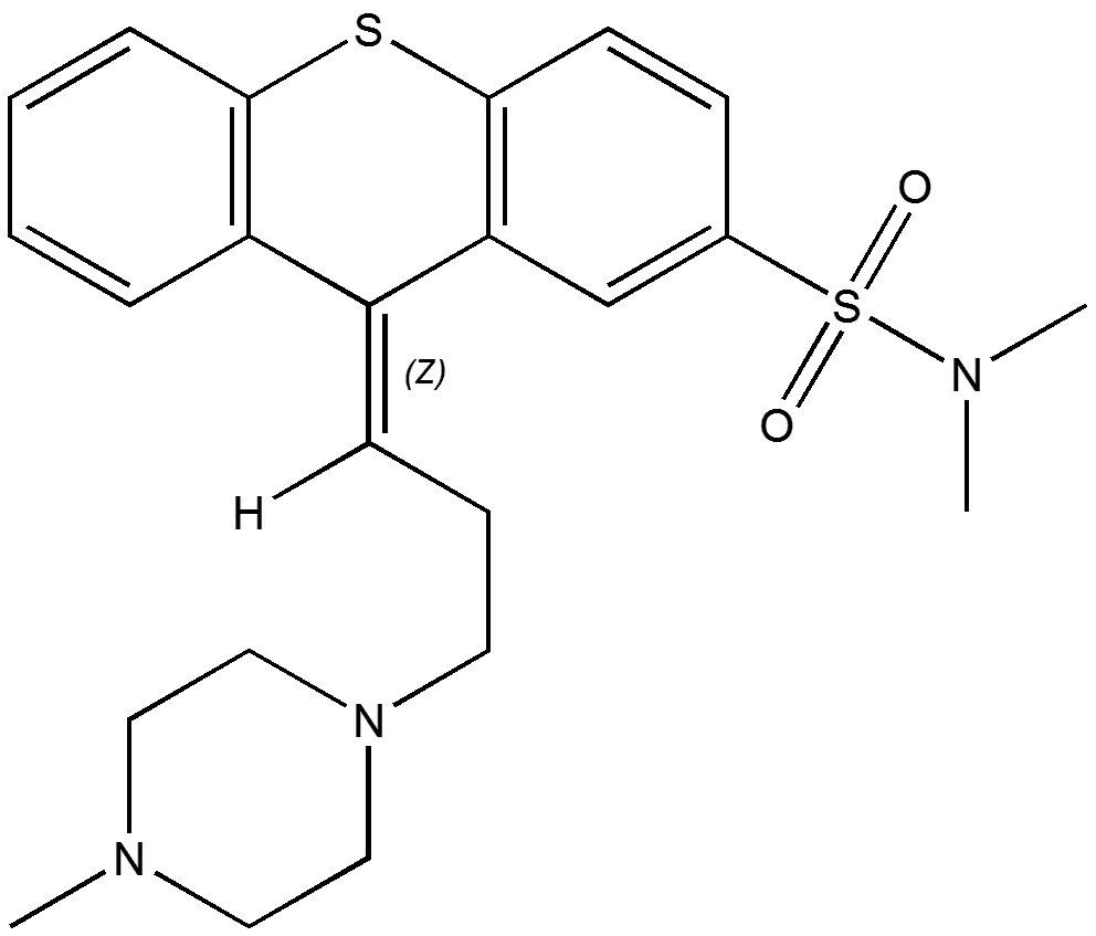
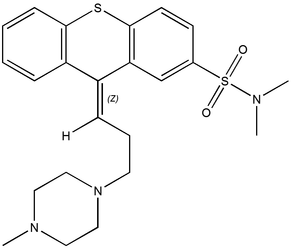
   Chemický vzorec  

Perorálny roztok

Faktory ovplyvňujúce stabilitu   Perorálny roztok   Faktory ovplyvňujúce stabilitu : Thiothixene        
žiadne údaje

  Mentions Légales