viimane versioon :
18/03/2026
neuroleptikum   Thiothixene  
suukaudne lahus
Stabiilsust ravimpreparaadid Stabiilsust mõjutavad tegurid stabiilsust mõjutavad faktorid Sobimatus Viited pdf
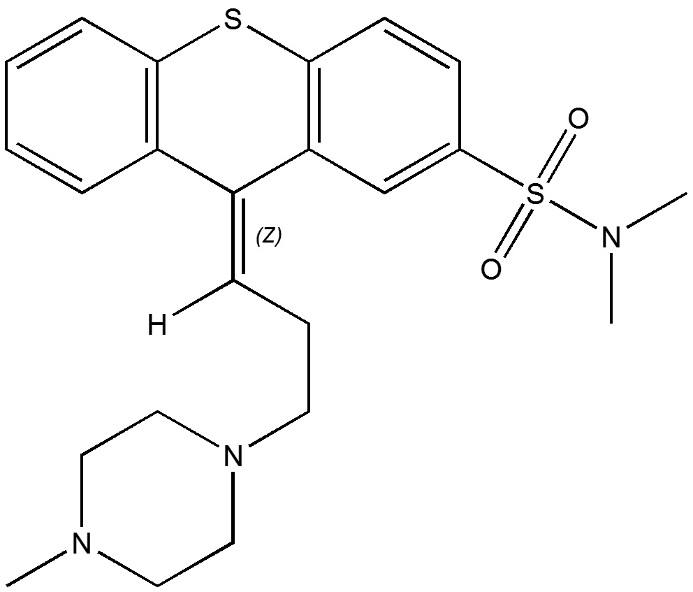
   keemiline struktuur  

suukaudne lahus

stabiilsust mõjutavad faktorid   suukaudne lahus   stabiilsust mõjutavad faktorid : Thiothixene        
andmed puuduvad

  Mentions Légales