Utolsó frissítés :
18/03/2026
Proton-pumpa gátló   Omeprazole sodium  
belsőleges oldat
Injekció
Stabilitása gyógyszerészeti készítmények A keverékek stabilitása Stabilitást befolyásoló tényezők Kompatibilitás Irodalom pdf
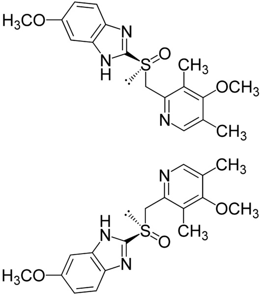
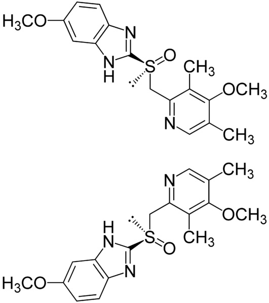
   Kémiai szerkezet   

belsőleges oldat
Irodalom   belsőleges oldat   Irodalom : Omeprazole sodium  
Type publikáció
2402 Napló Burnett JE, Balkin ER.
Stability and viscosity of a flavored omeprazole oral suspension for pediatric use
Am J Health-Syst Pharm 2006 ; 63: 2240-2247.
2430 Napló Quercia RA, Fan C, Liu X, Chow MS.
Stability of omeprazole in an extemporaneously prepared oral liquid
Am J Health-Syst Pharm 1997 ; 54: 1833-1836.
2546 Napló DiGiacinto JL, Olsen KM, BergmanKL, Hoie EB.
Stability of suspension formulations of lansoprazole and omeprazole stored in amber-colored plastic oral syringes.
Ann Pharmacotherapy 2000 ;34:600-605.
2886 Napló Garg S, Svirskis D, Al-Kabba M, Farhan S, Komeshi M, Lee J, Liu Q, Naidoo S.
Chemical Stability of Extemporaneously Compounded Omeprazole Formulations: A methods of compounding.
Int J Pharm Compound 2009 ; 13, 3: 250-253.
2980 Napló Johnson CE, Cober MP, Ludwig JL.
Stability of partial doses of omeprazole-sodium bicarbonate oral suspension.
Ann Pharmacotherapy 2007 ; 41: 1954-1961.
3302 Napló Whaley P A, Voudrie M A, Sorenson B.
Stability of Omeprazole in SyrSpend SF Alka (Reconstituted).
Int J Pharm Compound 2012 ; 16, 2 : 164-166.
3913 Napló Polonini H.C, Silva S.L, Loures S, Almy R, Balland A, Brandao M.A.F, Ferreira A.O.
Compatibility of proton pump inhibitors in a preservative-free suspending vehicle.
EJHP 2018 ;25,3:150-156.
4360 Napló Oriana Boscolo, Francesco Perra, Leandro Salvo, Fabiàn Buontempo, and Silvia Lucangioli.
Formulation and Stability Study of Omeprazole Oral Liquid Suspension for Pediatric Patients.
Hosp Pharm 2019
4388 Napló Meissner S, Bansal M, Donamae P, Hanning S, Svirskis D.
The Effect of Manufacturer on the Compounding of Omeprazole Suspensions and Their Stability Assessment.
Int J Pharm Compound 2020 ;24,2:140-147
4683 Napló Low M, Singh S, Venkataya B, Pearson J, Ibrahim M, Jarouche M, Khoo C, Rowe J, Li CG.
Stability of omeprazole in a commercial calcium carbonate based oral suspension at 2, 5 and 10 mg/mL stored under refrigeration (4°C) for 70 days
J Pharm Pract and Res 2022 2022; 52, 34-41
4766 Napló Spennacchio A, Assunta Lopedota A, Maria la Forgia F, Fontana S, Denora N, Lopalco A.
Stability of omeprazole extemporaneous oral solution in Chopin Base.
Int J Pharm Compound 2023 ;27,3:250-255

  Mentions Légales