Poslední aktualizace :
31/03/2026
Infostab
Junginių sąrašas
Sąrašai
Ieškoti suderinamumo
Y formos suderinamumo lentelė
Bibliografija
Mokslinių tyrimų Komandos
valistab
plakatas
Jungtys
rėmėjai
Autorius
Naudojimo instrukcija
Biuletenį
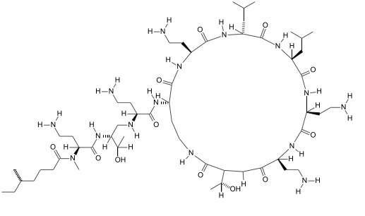
Colistin mesilate sodium
Cheminė sandara
Suderinamumas : Colistin mesilate sodium
explication_incompatibilite_molecules
Excipient
Colistin mesilate sodium
Ipratropium bromide
2550
Mentions Légales