Ultimo aggiornamento :
31/03/2026
Infostab
Elenco delle molecole
Elenchi sommari
Cerca compatibilità
Tabella di compatibilità del sito Y
Bibliografia
Le squadre di ricerca
valistab
poster
Connessioni
sponsor
Autori
Manuale d’uso
Bollettino
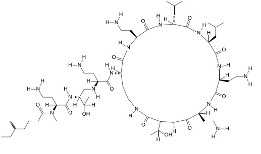
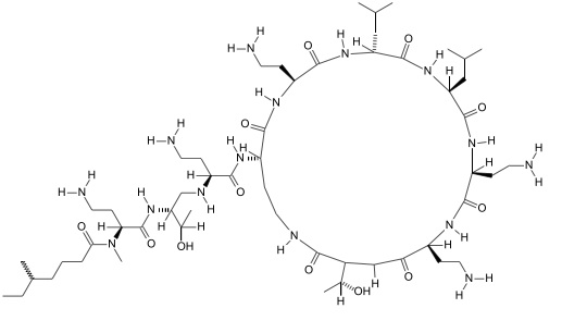
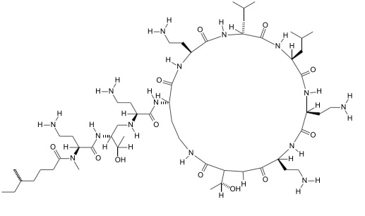
Colistin mesilate sodium
Struttura chimica
Compatibilità : Colistin mesilate sodium
explication_incompatibilite_molecules
Excipient
Colistin mesilate sodium
Ipratropium bromide
2550
Mentions Légales