最新更新 :
31/03/2026
抗菌薬   Colistin mesilate sodium  
エアロゾル
注射薬
調剤時の安定性 混合時の安定性 安定性に影響する因子 互換性 引用文献 PDF
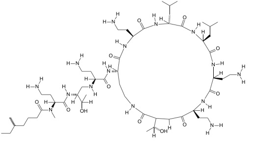
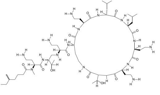
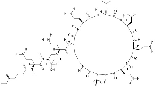
   化学構造  

エアロゾル
互換性   エアロゾル   互換性 : Colistin mesilate sodium              
This screen indicates the compatibilities or incompatibilities with, in this case, the type of incompatibility (precipitation, color change, modification of an emulsion, etc.). The compatibilities shown here are mostly physical only, with the chemical stability of each molecule rarely being assessed. The evaluation of these mixtures was studied to consider the possibility of Y-site administration to the patient. These data cannot be used for making mixtures in advance in bags or syringes. This type of information is available in the screen "Stability in mixture ».
化合物 Excipient 引用文献

  Mentions Légales