Última actualización :
31/03/2026
Infostab
Lista de la molécula
Listas recapitulativas
Búsqueda de compatibilidades
Tabla de compatibilidad en Y
Bibliografía
Los equipos de investigación
valistab
póster
Vínculos
patrocinadores
Autores
Manual de instruciones
Boletín de noticias
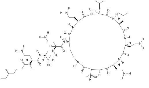
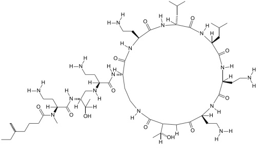
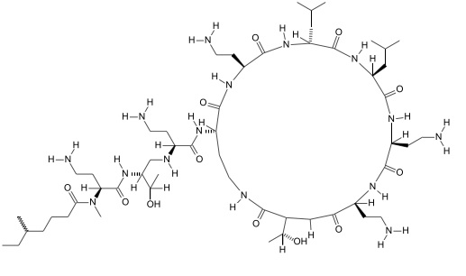
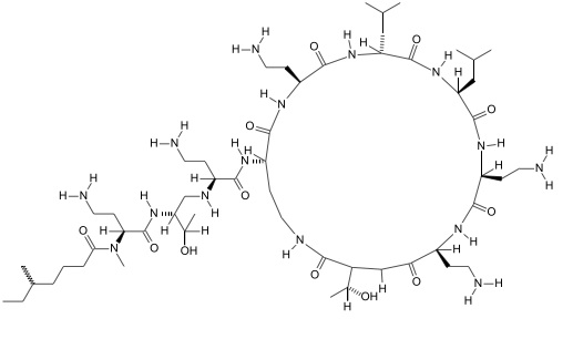
Colistin mesilate sodium
Estructura química
Bibliografía : Colistin mesilate sodium
Tipo
Publicación
2550
periódico
Roberts GW, Rossi S.O.P.
Compatibility of nebulizer solutions
Aust J Hosp Pharm 1993 ; 23: 35-37.
3334
periódico
Krämer I, Walz-Jung H, Stanko C, Kamin W.
Physicochemical compatibility of nebuliser solution admixtures containing colistimethate and hypertonic saline or colistimethate, fluticasone-17-propionate, ipratropium bromide and salbutamol sulfate.
EJHP 2013 ;20:36-41
3440
periódico
Wollstadt A, Krämer I, Kamin W.
Physicochemical compatibility of nebulizable drug admixtures containing colistimethate and tobramycin.
Pharmazie 2013 ; 68: 744-748.
Mentions Légales