Last update :
31/03/2026
Infostab
List of drugs
Summary lists
Search for compatibilities
Y-site compatibility table
References
Research teams
valistab
Poster
Links
Sponsors
Authors
User’s guide
Newsletter
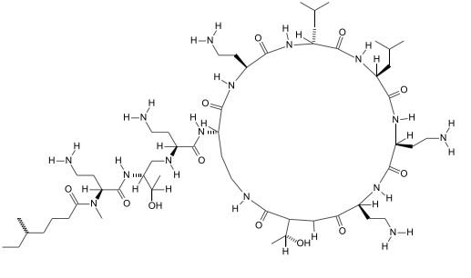
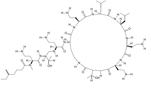
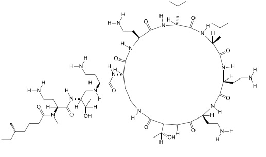
Colistin mesilate sodium
Chemical structure
References : Colistin mesilate sodium
Type
Publication
2550
Journal
Roberts GW, Rossi S.O.P.
Compatibility of nebulizer solutions
Aust J Hosp Pharm 1993 ; 23: 35-37.
3334
Journal
Krämer I, Walz-Jung H, Stanko C, Kamin W.
Physicochemical compatibility of nebuliser solution admixtures containing colistimethate and hypertonic saline or colistimethate, fluticasone-17-propionate, ipratropium bromide and salbutamol sulfate.
EJHP 2013 ;20:36-41
3440
Journal
Wollstadt A, Krämer I, Kamin W.
Physicochemical compatibility of nebulizable drug admixtures containing colistimethate and tobramycin.
Pharmazie 2013 ; 68: 744-748.
Mentions Légales