Letztes “update” :
31/03/2026
Antibiotikum   Colistin mesilate sodium  
Aerosol
Injektion
Stabilität von pharmazeutischen Präparaten Gemengestabilität Stabilitätbeeinflussende Faktoren Kompatibilitäten Literaturverzeichnis pdf
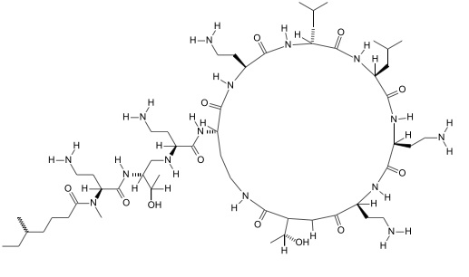
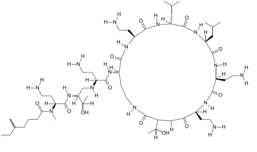
   Chemische Struktur  

Aerosol
Literaturverzeichnis   Aerosol   Literaturverzeichnis : Colistin mesilate sodium  
Typ Veröffentlichung
2550 Zeitung Roberts GW, Rossi S.O.P.
Compatibility of nebulizer solutions
Aust J Hosp Pharm 1993 ; 23: 35-37.
3334 Zeitung Krämer I, Walz-Jung H, Stanko C, Kamin W.
Physicochemical compatibility of nebuliser solution admixtures containing colistimethate and hypertonic saline or colistimethate, fluticasone-17-propionate, ipratropium bromide and salbutamol sulfate.
EJHP 2013 ;20:36-41
3440 Zeitung Wollstadt A, Krämer I, Kamin W.
Physicochemical compatibility of nebulizable drug admixtures containing colistimethate and tobramycin.
Pharmazie 2013 ; 68: 744-748.

  Mentions Légales