Última actualización :
18/03/2026
fármacos contra el cáncer   Dacarbazine  
Inyectables
Estabilidad en solucion Estabilidad en mezcla Factores que influyen sobre la estabilidad Compatibilidades método de inyección Bibliografía pdf
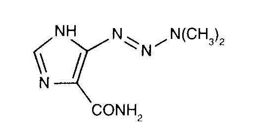
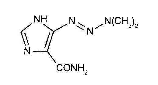
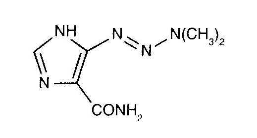
   Estructura química  

Nombre comercial   Nombre comercial     

Los nombres comerciales son orientativos y los excipientes de la formulación pueden ser distintos dependiendo del país y del laboratorio fabricante.

Acocarb México
Celdaz India, Marruecos
Dabaz Brasil, India
Dacarba India
Dacarbazin Austria, Hungría, Malasia, Polonia
Dacarbazina Argentina, Brasil, Chile, Colombia, Ecuador, España, Italia, Marruecos, México
Dacarbazine Australia, Bélgica, Canadá, Dinamarca, Estados Unidos de América, Gran Bretaña, India, Irán, Irlanda, Nueva Zelanda, Suecia
Dacarex India
Dacarin India
Dacarpalm Marruecos
Dacarzine India
Dacin Eslovenia, Suiza
Dacmed India
Daracina Colombia
Deticene Arabia Saudita, Francia, Grecia, Países Bajos, Portugal
Detimedac Alemania, Colombia, Rumania, Túnez
DTIC Austria, Estados Unidos de América, Nueva Zelanda
Fauldetic Portugal
Oncocarbil Argentina, Ecuador, Marruecos
Tiferomed México
Bibliografía   Inyectables   Bibliografía : Dacarbazine  
Tipo Publicación
3 periódico Trissel LA, Martinez JF.
Compatibility of amifostine with selected drugs during simulated Y-site administration.
Am J Health-Syst Pharm 1995 ; 52: 2208-2212.
26 periódico Stewart JT, Warren FW, King DT, Venkateshwaran TG, Ponder GW, Fox JL.
Stability of ondansetron hydrochloride, doxorubicin hydrochloride, and dacarbazine or vincristine sulfate in elastomeric portable infusion devices and polyvinyl chloride bags.
Am J Health-Syst Pharm 1997 ; 54: 915-920.
40 periódico Dine T, Lebegue S, Benaji B, Gressier B, Segard V, Goudaliez F, Luyckx M, Brunet C, Mallevais ML, Kablan J, Cazin M, Cazin JC.
Stability and compatibility studies of four cytostatic agents (fluorouracil, dacarbazine, cyclophosphamide and ifosfamide) with PVC infusion bags.
Pharm Sci Communications 1994 ; 4: 97-101.
57 periódico Mayron D, Gennaro AR.
Stability and compatibility of granisetron hydrochloride in IV solutions and oral liquids and during simulated Y-site injection with selected drugs.
Am J Health-Syst Pharm 1996 ; 53: 294-304.
81 periódico Trissel LA, Martinez JF.
Compatibility of piperacillin sodium plus tazobactam with selected drugs during simulated Y-site injection.
Am J Hosp Pharm 1994 ; 51: 672-678.
84 periódico Trissel LA, Martinez JF.
Visual, turbidimetric, and particle-content assessment of compatibility of vinorelbine tartrate with selected drugs during simulated Y-site injection.
Am J Hosp Pharm 1994 ; 51: 495-499.
99 periódico Trissel LA, Martinez JF.
Compatibility of aztreonam with selected drugs during simulated Y-site administration.
Am J Health-Syst Pharm 1995 ; 52: 1086-1090.
169 periódico Trissel LA, Martinez JF.
Physical compatibility of melphalan with selected drugs during simulated Y-site administration.
Am J Hosp Pharm 1993 ; 50: 2359-2363.
184 periódico Stewart JT, Warren FW, King DT, Fox JL.
Stability of ondansetron hydrochloride and five antineoplasic medications.
Am J Health-Syst Pharm 1996 ; 53: 1297-1300.
244 periódico Trissel LA, Martinez JF.
Compatibility of filgrastim with selected drugs during simulated Y-site administration.
Am J Hosp Pharm 1994 ; 51: 1907-1913.
248 periódico Trissel LA, Martinez JF.
Turbidimetric assessment of the compatibility of taxol with 42 other drugs during simulated Y-site injection.
Am J Hosp Pharm 1993 ; 50: 300-304.
249 periódico Trissel LA, Martinez JF.
Compatibility of thiotepa (lyophilized) with selected drugs during simulated Y-site administration.
Am J Health-Syst Pharm 1996 ; 53: 1041-1045.
251 periódico Trissel LA, Gilbert DL, Martinez JF.
Compatibility of doxorubicin hydrochloride liposome injection with selected other drugs during simulated Y-site administration.
Am J Health-Syst Pharm 1997 ; 54: 2708-2713.
307 periódico Trissel LA, Martinez JF.
Compatibility of allopurinol sodium with selected drugs during simulated Y-site administration.
Am J Hosp Pharm 1994 ; 51: 1792-1799.
334 periódico Trissel LA, Tramonte SM, Grilley BJ.
Visual compatibility of ondansetron hydrochloride with selected drugs during simulated Y-site injection.
Am J Hosp Pharm 1991 ; 48: 988-992.
335 periódico Trissel LA, Bready BB, Kwan JW, Santiago NM.
Visual compatibility of sargramostim with selected antineoplasic agents, anti-infectives, or other drugs during simulated Y-site injection.
Am J Hosp Pharm 1992 ; 49: 402-406.
353 periódico Lunn G, Sansone EB.
Reductive destruction of dacarbazine, procarbazine hydrochloride, isoniazid, and iproniazid.
Am J Hosp Pharm 1987 ; 44: 2519-2524.
492 periódico Trissel LA, Parks NPT, Santiago NM.
Visual compatibility of fludarabine phosphate with antineoplastic drugs, anti-infectives, and other selected drugs during simulated Y-site injection.
Am J Hosp Pharm 1991 ; 48: 2186-2189.
860 periódico Nelson RW, Young R, Lamnin M.
Visual incompatibility of dacarbazine and heparin.
Am J Hosp Pharm 1987 ; 44: 2028.
905 periódico Trissel LA, Martinez JF.
Screening teniposide for Y-site physical incompatibilities.
Hosp Pharm 1994 ; 29: 1010-1017.
1383 periódico Stevens MFG, Peatey L.
Photodegradation of solutions of the antitumour drug DTIC.
J Pharm Pharmacol 1978 ; 30: 47P.
1410 periódico Trissel LA, Martinez JF, Simmons M.
Compatibility of etoposide phosphate with selected drugs during simulated Y-site injection.
J Am Pharm Assoc 1999 ; 39: 141-145.
1501 periódico Beitz C, Bertsch T, Hannak D, Schrammel W, Einberger C, Wehling M.
Compatibility of plastics with cytotoxic drug solutions - comparison of polyethylene with other container materials.
Int J Pharm 1999 ; 185: 113-121.
1635 periódico El Aatmani M, Poujol S, Astre C, Malosse F, Pinguet F.
Stability of dacarbazine in amber glass vials and polyvinyl chloride bags.
Am J Health-Syst Pharm 2002 ; 59: 1351-1356.
2107 periódico Trissel LA, Zhang Y, Xu QA.
Physical and chemical stability of palonosetron hydrochloride with dacarbazine and with methylprednisolone sodium succinate during simulated Y-site administration.
Int J Pharm Compound 2006 ; 10: 234-236.
3266 Laboratorio Lipomed Laboratories
Dacarbazine solutions: In Use stability of dacarbazine lipomed®
Lipomed 2011
3267 Laboratorio Lipomed Laboratories
Dacarbazine Lipomed - Summary of Product Characteristics
Lipomed 2011
3540 Laboratorio Heparin sodium - Summary of Product Characteristics.
Wockhardt 2010
3605 Laboratorio Dacarbazine (Dacarbazine Lipomed®) - Résumé des caractéristiques du produit
Lipomed 2010

  Mentions Légales