最新更新 :
18/03/2026
細胞増殖抑制薬   Dacarbazine  
注射薬
溶媒内の安定性 混合時の安定性 安定性に影響する因子 互換性 投与経路 引用文献 PDF
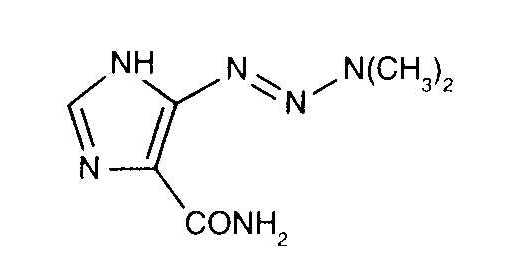
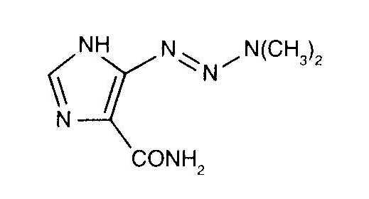
   化学構造  

商品名   商品名     

商品名、賦形剤は国、製薬会社ごとに異なることがあります

Acocarb メキシコ
Celdaz インド, ペルー
Dabaz インド, ブラジル
Dacarba インド
Dacarbazin オーストリア, ハンガリー, ポーランド, マレーシア
Dacarbazina アルゼンチン, イタリア, エクアドル, コロンビア, スペイン, チリ, ブラジル, ペルー, メキシコ
Dacarbazine アイルランド, アメリカ, アーストラリア, イギリス, イラン, インド, カナダ, スウェーデン, デンマーク, ニュージーランド, ベルギー
Dacarex インド
Dacarin インド
Dacarpalm ペルー
Dacarzine インド
Dacin スイス, スロベニア
Dacmed インド
Daracina コロンビア
Deticene オランダ, ギリシア, サウジアラビア, フランス, ポルトガル
Detimedac コロンビア, チュニジア, ドイツ, ルーマニア
DTIC アメリカ, オーストリア, ニュージーランド
Fauldetic ポルトガル
Oncocarbil アルゼンチン, エクアドル, ペルー
Tiferomed メキシコ
引用文献   注射薬   引用文献 : Dacarbazine  
形式 出版物
3 雑誌 Trissel LA, Martinez JF.
Compatibility of amifostine with selected drugs during simulated Y-site administration.
Am J Health-Syst Pharm 1995 ; 52: 2208-2212.
26 雑誌 Stewart JT, Warren FW, King DT, Venkateshwaran TG, Ponder GW, Fox JL.
Stability of ondansetron hydrochloride, doxorubicin hydrochloride, and dacarbazine or vincristine sulfate in elastomeric portable infusion devices and polyvinyl chloride bags.
Am J Health-Syst Pharm 1997 ; 54: 915-920.
40 雑誌 Dine T, Lebegue S, Benaji B, Gressier B, Segard V, Goudaliez F, Luyckx M, Brunet C, Mallevais ML, Kablan J, Cazin M, Cazin JC.
Stability and compatibility studies of four cytostatic agents (fluorouracil, dacarbazine, cyclophosphamide and ifosfamide) with PVC infusion bags.
Pharm Sci Communications 1994 ; 4: 97-101.
57 雑誌 Mayron D, Gennaro AR.
Stability and compatibility of granisetron hydrochloride in IV solutions and oral liquids and during simulated Y-site injection with selected drugs.
Am J Health-Syst Pharm 1996 ; 53: 294-304.
81 雑誌 Trissel LA, Martinez JF.
Compatibility of piperacillin sodium plus tazobactam with selected drugs during simulated Y-site injection.
Am J Hosp Pharm 1994 ; 51: 672-678.
84 雑誌 Trissel LA, Martinez JF.
Visual, turbidimetric, and particle-content assessment of compatibility of vinorelbine tartrate with selected drugs during simulated Y-site injection.
Am J Hosp Pharm 1994 ; 51: 495-499.
99 雑誌 Trissel LA, Martinez JF.
Compatibility of aztreonam with selected drugs during simulated Y-site administration.
Am J Health-Syst Pharm 1995 ; 52: 1086-1090.
169 雑誌 Trissel LA, Martinez JF.
Physical compatibility of melphalan with selected drugs during simulated Y-site administration.
Am J Hosp Pharm 1993 ; 50: 2359-2363.
184 雑誌 Stewart JT, Warren FW, King DT, Fox JL.
Stability of ondansetron hydrochloride and five antineoplasic medications.
Am J Health-Syst Pharm 1996 ; 53: 1297-1300.
244 雑誌 Trissel LA, Martinez JF.
Compatibility of filgrastim with selected drugs during simulated Y-site administration.
Am J Hosp Pharm 1994 ; 51: 1907-1913.
248 雑誌 Trissel LA, Martinez JF.
Turbidimetric assessment of the compatibility of taxol with 42 other drugs during simulated Y-site injection.
Am J Hosp Pharm 1993 ; 50: 300-304.
249 雑誌 Trissel LA, Martinez JF.
Compatibility of thiotepa (lyophilized) with selected drugs during simulated Y-site administration.
Am J Health-Syst Pharm 1996 ; 53: 1041-1045.
251 雑誌 Trissel LA, Gilbert DL, Martinez JF.
Compatibility of doxorubicin hydrochloride liposome injection with selected other drugs during simulated Y-site administration.
Am J Health-Syst Pharm 1997 ; 54: 2708-2713.
307 雑誌 Trissel LA, Martinez JF.
Compatibility of allopurinol sodium with selected drugs during simulated Y-site administration.
Am J Hosp Pharm 1994 ; 51: 1792-1799.
334 雑誌 Trissel LA, Tramonte SM, Grilley BJ.
Visual compatibility of ondansetron hydrochloride with selected drugs during simulated Y-site injection.
Am J Hosp Pharm 1991 ; 48: 988-992.
335 雑誌 Trissel LA, Bready BB, Kwan JW, Santiago NM.
Visual compatibility of sargramostim with selected antineoplasic agents, anti-infectives, or other drugs during simulated Y-site injection.
Am J Hosp Pharm 1992 ; 49: 402-406.
353 雑誌 Lunn G, Sansone EB.
Reductive destruction of dacarbazine, procarbazine hydrochloride, isoniazid, and iproniazid.
Am J Hosp Pharm 1987 ; 44: 2519-2524.
492 雑誌 Trissel LA, Parks NPT, Santiago NM.
Visual compatibility of fludarabine phosphate with antineoplastic drugs, anti-infectives, and other selected drugs during simulated Y-site injection.
Am J Hosp Pharm 1991 ; 48: 2186-2189.
860 雑誌 Nelson RW, Young R, Lamnin M.
Visual incompatibility of dacarbazine and heparin.
Am J Hosp Pharm 1987 ; 44: 2028.
905 雑誌 Trissel LA, Martinez JF.
Screening teniposide for Y-site physical incompatibilities.
Hosp Pharm 1994 ; 29: 1010-1017.
1383 雑誌 Stevens MFG, Peatey L.
Photodegradation of solutions of the antitumour drug DTIC.
J Pharm Pharmacol 1978 ; 30: 47P.
1410 雑誌 Trissel LA, Martinez JF, Simmons M.
Compatibility of etoposide phosphate with selected drugs during simulated Y-site injection.
J Am Pharm Assoc 1999 ; 39: 141-145.
1501 雑誌 Beitz C, Bertsch T, Hannak D, Schrammel W, Einberger C, Wehling M.
Compatibility of plastics with cytotoxic drug solutions - comparison of polyethylene with other container materials.
Int J Pharm 1999 ; 185: 113-121.
1635 雑誌 El Aatmani M, Poujol S, Astre C, Malosse F, Pinguet F.
Stability of dacarbazine in amber glass vials and polyvinyl chloride bags.
Am J Health-Syst Pharm 2002 ; 59: 1351-1356.
2107 雑誌 Trissel LA, Zhang Y, Xu QA.
Physical and chemical stability of palonosetron hydrochloride with dacarbazine and with methylprednisolone sodium succinate during simulated Y-site administration.
Int J Pharm Compound 2006 ; 10: 234-236.
3266 実験 Lipomed Laboratories
Dacarbazine solutions: In Use stability of dacarbazine lipomed®
Lipomed 2011
3267 実験 Lipomed Laboratories
Dacarbazine Lipomed - Summary of Product Characteristics
Lipomed 2011
3540 実験 Heparin sodium - Summary of Product Characteristics.
Wockhardt 2010
3605 実験 Dacarbazine (Dacarbazine Lipomed®) - Résumé des caractéristiques du produit
Lipomed 2010

  Mentions Légales