Последнее обновление :
18/03/2026
Цитостатическое средство   Dacarbazine  
Инъекция
Стабильность растворов Стабильность смесей Факторы, которые влияют на стабильность Совместимость Способы введения Библиография pdf
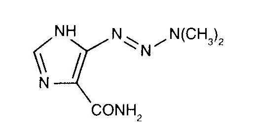
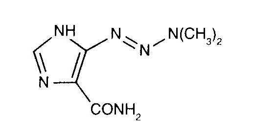
   Химическая структура  

Товарное название   Товарное название     

Trade names are indicative and excipients composition can be different depending on the country and manufacturers

Acocarb Мексика
Celdaz Индия, Перу
Dabaz Бразилия, Индия
Dacarba Индия
Dacarbazin Австрия, Венгрия, Малайзия, Польша
Dacarbazina Аргентина, Бразилия, Испания, Италия, Колумбия, Мексика, Перу, чили, Эквадор
Dacarbazine Австралия, Бельгия, Великобритания, Дания, Индия, Иран, Ирландия, Канада, новая Зеландия, Соединённые Штаты Америки, Швеция
Dacarex Индия
Dacarin Индия
Dacarpalm Перу
Dacarzine Индия
Dacin Словения, Швейцария
Dacmed Индия
Daracina Колумбия
Deticene Голландия, Греция, Португалия, Саудовская Аравия, Франция
Detimedac Германия, Колумбия, Румыния, Тунис
DTIC Австрия, новая Зеландия, Соединённые Штаты Америки
Fauldetic Португалия
Oncocarbil Аргентина, Перу, Эквадор
Tiferomed Мексика
Библиография   Инъекция   Библиография : Dacarbazine  
тип публикация
3 Журнал Trissel LA, Martinez JF.
Compatibility of amifostine with selected drugs during simulated Y-site administration.
Am J Health-Syst Pharm 1995 ; 52: 2208-2212.
26 Журнал Stewart JT, Warren FW, King DT, Venkateshwaran TG, Ponder GW, Fox JL.
Stability of ondansetron hydrochloride, doxorubicin hydrochloride, and dacarbazine or vincristine sulfate in elastomeric portable infusion devices and polyvinyl chloride bags.
Am J Health-Syst Pharm 1997 ; 54: 915-920.
40 Журнал Dine T, Lebegue S, Benaji B, Gressier B, Segard V, Goudaliez F, Luyckx M, Brunet C, Mallevais ML, Kablan J, Cazin M, Cazin JC.
Stability and compatibility studies of four cytostatic agents (fluorouracil, dacarbazine, cyclophosphamide and ifosfamide) with PVC infusion bags.
Pharm Sci Communications 1994 ; 4: 97-101.
57 Журнал Mayron D, Gennaro AR.
Stability and compatibility of granisetron hydrochloride in IV solutions and oral liquids and during simulated Y-site injection with selected drugs.
Am J Health-Syst Pharm 1996 ; 53: 294-304.
81 Журнал Trissel LA, Martinez JF.
Compatibility of piperacillin sodium plus tazobactam with selected drugs during simulated Y-site injection.
Am J Hosp Pharm 1994 ; 51: 672-678.
84 Журнал Trissel LA, Martinez JF.
Visual, turbidimetric, and particle-content assessment of compatibility of vinorelbine tartrate with selected drugs during simulated Y-site injection.
Am J Hosp Pharm 1994 ; 51: 495-499.
99 Журнал Trissel LA, Martinez JF.
Compatibility of aztreonam with selected drugs during simulated Y-site administration.
Am J Health-Syst Pharm 1995 ; 52: 1086-1090.
169 Журнал Trissel LA, Martinez JF.
Physical compatibility of melphalan with selected drugs during simulated Y-site administration.
Am J Hosp Pharm 1993 ; 50: 2359-2363.
184 Журнал Stewart JT, Warren FW, King DT, Fox JL.
Stability of ondansetron hydrochloride and five antineoplasic medications.
Am J Health-Syst Pharm 1996 ; 53: 1297-1300.
244 Журнал Trissel LA, Martinez JF.
Compatibility of filgrastim with selected drugs during simulated Y-site administration.
Am J Hosp Pharm 1994 ; 51: 1907-1913.
248 Журнал Trissel LA, Martinez JF.
Turbidimetric assessment of the compatibility of taxol with 42 other drugs during simulated Y-site injection.
Am J Hosp Pharm 1993 ; 50: 300-304.
249 Журнал Trissel LA, Martinez JF.
Compatibility of thiotepa (lyophilized) with selected drugs during simulated Y-site administration.
Am J Health-Syst Pharm 1996 ; 53: 1041-1045.
251 Журнал Trissel LA, Gilbert DL, Martinez JF.
Compatibility of doxorubicin hydrochloride liposome injection with selected other drugs during simulated Y-site administration.
Am J Health-Syst Pharm 1997 ; 54: 2708-2713.
307 Журнал Trissel LA, Martinez JF.
Compatibility of allopurinol sodium with selected drugs during simulated Y-site administration.
Am J Hosp Pharm 1994 ; 51: 1792-1799.
334 Журнал Trissel LA, Tramonte SM, Grilley BJ.
Visual compatibility of ondansetron hydrochloride with selected drugs during simulated Y-site injection.
Am J Hosp Pharm 1991 ; 48: 988-992.
335 Журнал Trissel LA, Bready BB, Kwan JW, Santiago NM.
Visual compatibility of sargramostim with selected antineoplasic agents, anti-infectives, or other drugs during simulated Y-site injection.
Am J Hosp Pharm 1992 ; 49: 402-406.
353 Журнал Lunn G, Sansone EB.
Reductive destruction of dacarbazine, procarbazine hydrochloride, isoniazid, and iproniazid.
Am J Hosp Pharm 1987 ; 44: 2519-2524.
492 Журнал Trissel LA, Parks NPT, Santiago NM.
Visual compatibility of fludarabine phosphate with antineoplastic drugs, anti-infectives, and other selected drugs during simulated Y-site injection.
Am J Hosp Pharm 1991 ; 48: 2186-2189.
860 Журнал Nelson RW, Young R, Lamnin M.
Visual incompatibility of dacarbazine and heparin.
Am J Hosp Pharm 1987 ; 44: 2028.
905 Журнал Trissel LA, Martinez JF.
Screening teniposide for Y-site physical incompatibilities.
Hosp Pharm 1994 ; 29: 1010-1017.
1383 Журнал Stevens MFG, Peatey L.
Photodegradation of solutions of the antitumour drug DTIC.
J Pharm Pharmacol 1978 ; 30: 47P.
1410 Журнал Trissel LA, Martinez JF, Simmons M.
Compatibility of etoposide phosphate with selected drugs during simulated Y-site injection.
J Am Pharm Assoc 1999 ; 39: 141-145.
1501 Журнал Beitz C, Bertsch T, Hannak D, Schrammel W, Einberger C, Wehling M.
Compatibility of plastics with cytotoxic drug solutions - comparison of polyethylene with other container materials.
Int J Pharm 1999 ; 185: 113-121.
1635 Журнал El Aatmani M, Poujol S, Astre C, Malosse F, Pinguet F.
Stability of dacarbazine in amber glass vials and polyvinyl chloride bags.
Am J Health-Syst Pharm 2002 ; 59: 1351-1356.
2107 Журнал Trissel LA, Zhang Y, Xu QA.
Physical and chemical stability of palonosetron hydrochloride with dacarbazine and with methylprednisolone sodium succinate during simulated Y-site administration.
Int J Pharm Compound 2006 ; 10: 234-236.
3266 Лаборатория Lipomed Laboratories
Dacarbazine solutions: In Use stability of dacarbazine lipomed®
Lipomed 2011
3267 Лаборатория Lipomed Laboratories
Dacarbazine Lipomed - Summary of Product Characteristics
Lipomed 2011
3540 Лаборатория Heparin sodium - Summary of Product Characteristics.
Wockhardt 2010
3605 Лаборатория Dacarbazine (Dacarbazine Lipomed®) - Résumé des caractéristiques du produit
Lipomed 2010

  Mentions Légales