最新更新 :
18/03/2026
解毒薬   Sugammadex  
注射薬
溶媒内の安定性 混合時の安定性 安定性に影響する因子 互換性 投与経路 引用文献 PDF
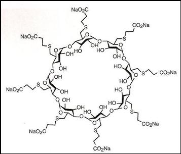
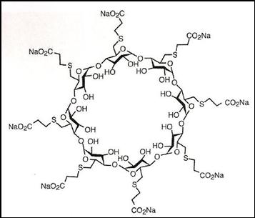
   化学構造  

商品名   商品名     

商品名、賦形剤は国、製薬会社ごとに異なることがあります

Bridion アイスランド, アイルランド, アルゼンチン, アーストラリア, イギリス, イタリア, エクアドル, コロンビア, スイス, スペイン, チリ, デンマーク, トルコ, ドイツ, ニュージーランド, ノルウェー, ハンガリー, フランス, ブラジル, ベルギー, ペルー, ポルトガル, マレーシア, メキシコ, ルクセンブルグ, ルーマニア, 日本
Desintunev メキシコ
Sagomyl チリ
Sugadion チリ
Sugamastar ペルー
Sugammadex アイルランド, イタリア, スペイン, チリ, ハンガリー, フィンランド, ベルギー
Suvitali メキシコ
投与経路   投与経路 :Sugammadex     
経路
静脈内

  Mentions Légales