Τελευταία ενημέρωση :
18/03/2026
Αντίδοτο   Sugammadex  
Ενέσιμο
Σταθερότητα διαλυμάτων Σταθερότητα σε μίγματα Παράγοντας που επηρεάζει τη σταθερότητα Συμβατότητες Τρόπος χορήγησης Βιβλιογραφία pdf
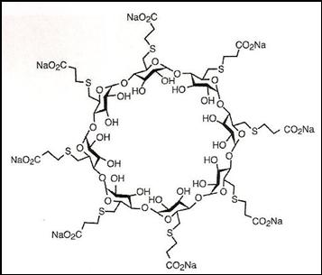
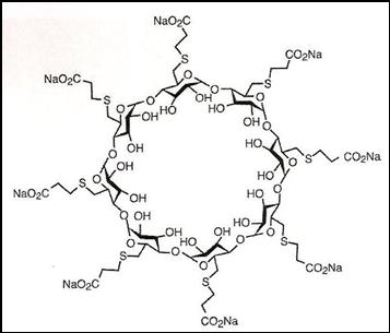
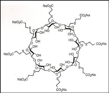
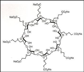
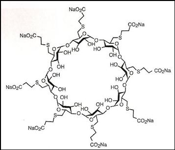
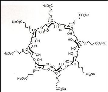
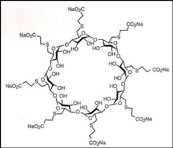
   χημική δομή  

Εμπορική ονομασία   Εμπορική ονομασία     

Οι εμπορικές ονομασίες είναι ενδεικτικές και η σύνθεση των εκδόχων μπορεί να διαφέρει ανάλογα με τη χώρα και τα εργαστήρια

Bridion Αργεντινή, Αυστραλία, Βέλγιο, Βραζιλία, Γαλλία, Γερμανία, Δανία, Εκουαδόρ, Ελβετία, Ιαπωνία, Ιρλανδία, Ισλανδία, Ισπανία, Ιταλία, Κολομβία, Λουξεμβούργο, Μαλαισία, Μεγάλη Βρετανία, Μεξικό, νέα Ζηλανδία, Νορβηγία, Ουγγαρία, Περού, Πορτογαλία, Ρουμανία, Τουρκία, Χιλή
Desintunev Μεξικό
Sagomyl Χιλή
Sugadion Χιλή
Sugamastar Περού
Sugammadex Βέλγιο, Ιρλανδία, Ισπανία, Ιταλία, Ουγγαρία, Φινλανδία, Χιλή
Suvitali Μεξικό
Τρόπος χορήγησης   Τρόπος χορήγησης :Sugammadex     
Voie
Ενδοφλέβια

  Mentions Légales