Poslední aktualizace :
18/03/2026
vėžio narkotikų   Azacitidine  
Įpurškimas
Tirpalų stabilumas Mišinių stabilumas Stabilumą lemiantys veiksniai Suderinamumas Leidimo būdai Bibliografija pdf
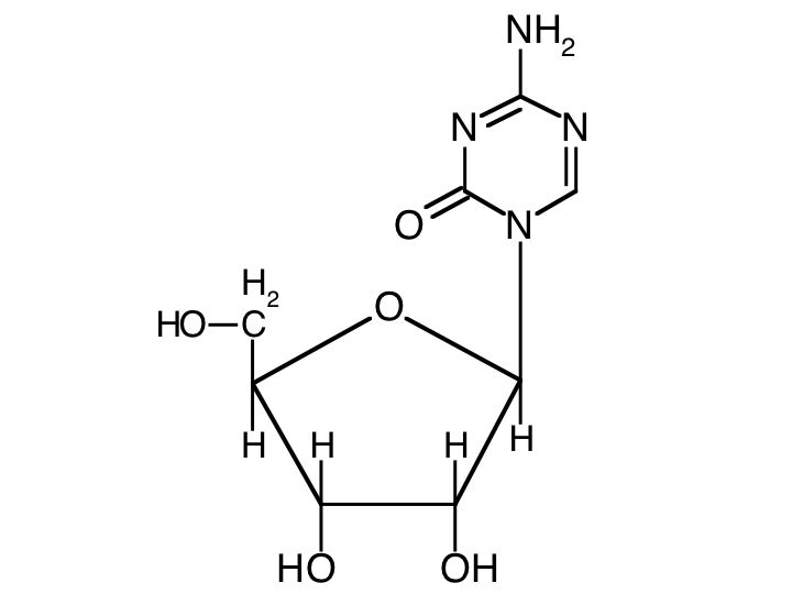
   Cheminė sandara  

Prekinis pavadinimas   Prekinis pavadinimas     

Trade names are indicative and excipients composition can be different depending on the country and manufacturers

Amilix Argentina
Arquimes Argentina
Azacimyl Čilė
Azacitidina Argentina, Čilė, Peru
Azacitidine Jungtinės Amerikos Valstijos, Vokietija
Azacor Peru
Azadin Turkija
Azamex Argentina
Azanova Argentina
Azateva Argentina
Azida Turkija
Azitech Argentina
Citofin Argentina
Iclacitidina Peru
Iterbil Argentina
Maturus Argentina
Mietozitidina Argentina, Peru
Nimodac Argentina
Remitiva Čilė
Tazadir Argentina
Vidaza Argentina, Australija, Belgija, Brazilija, Čilė, Didžioji Britanija, Islandija, Ispanija, Italija, Japonija, Jungtinės Amerikos Valstijos, Kanada, Kolumbija, Kroatija, Liuksemburgas, Malaizija, Meksikas, Naujojoje Zelandijoje, Norvegija, Peru, Prancūzija, Rumunija, Slovėnija, Suomija, Švedija, Šveicarija, Tunisas, Turkija, Vengrija, Vokietija
Zacidonel Meksikas
Zylatadina Argentina
Tirpalų stabilumas   Įpurškimas   Tirpalų stabilumas : Azacitidine     
Pakuotė Tirpiklis Koncentracija Temperatūra Laikymas Stabilumo trukmė Nuorodos
Stiklas Vanduo injekcijoms 10 & 25 mg/ml 25°C Nenurodyta
2 Valanda
4227
Bandymo lygis B

Stiklas Vanduo injekcijoms 25 mg/ml 2-8°C Nenurodyta
8 Valanda
3236
Gamintojo stabilumo duomenys

Stiklas Vanduo injekcijoms 25 mg/ml 25°C Nenurodyta
0.75 Valanda
3236
Gamintojo stabilumo duomenys

Stiklas Natrio chloridas 0,9% 0.2 mg/ml 25°C Nenurodyta
1.9 Valanda
1039
Bandymo lygis D

Stiklas Natrio chloridas 0,9% 2 mg/ml 25°C Nenurodyta
2.4 Valanda
1039
Bandymo lygis D

Stiklas Ringerio laktato tirpalas 0.2 mg/ml 25°C Nenurodyta
1.9 Valanda
1039
Bandymo lygis D

Stiklas Ringerio laktato tirpalas 2 mg/ml 25°C Nenurodyta
2.8 Valanda
1039
Bandymo lygis D

Stiklas Vanduo injekcijoms (4°C) 10 & 25 mg/ml -20°C Nenurodyta
21 Diena
4227
Bandymo lygis B

Stiklas Vanduo injekcijoms (4°C) 10 & 25 mg/ml 25°C Nenurodyta
4 Valanda
4227
Bandymo lygis B

Stiklas Vanduo injekcijoms (4°C) 10 & 25 mg/ml 4°C Nenurodyta
24 Valanda
4227
Bandymo lygis B

prieštaringi duomenys
Stiklas Vanduo injekcijoms (4°C) 25 mg/ml 2-8°C Apsaugotas nuo šviesos
22 Valanda
3236
Gamintojo stabilumo duomenys

Polipropilenas Natrio chloridas 0,9% 1.4 >> 2.4 mg/ml 4°C Nenurodyta
3 Valanda
3816
Bandymo lygis D

Polipropilenas Vanduo injekcijoms (4°C) 10 & 25 mg/ml -20°C Nenurodyta
21 Diena
4227
Bandymo lygis B

Polipropilenas Vanduo injekcijoms (4°C) 10 & 25 mg/ml 4°C Nenurodyta
24 Valanda
4227
Bandymo lygis B

prieštaringi duomenys
Švirkštas polipropileno Ringerio laktato tirpalas 0.5 mg/ml -20°C Apsaugotas nuo šviesos
30 Diena
414
Bandymo lygis D

Švirkštas polipropileno Ringerio laktato tirpalas 0.5 & 2 mg/ml 20°C Nenurodyta
2 Valanda
414
Bandymo lygis D

Švirkštas polipropileno Ringerio laktato tirpalas 2 mg/ml -20°C Apsaugotas nuo šviesos
18 Diena
414
Bandymo lygis D

Švirkštas polipropileno Vanduo injekcijoms (4°C) 25 mg/ml -20°C Apsaugotas nuo šviesos
8 Diena
3204
Bandymo lygis A

Švirkštas polipropileno Vanduo injekcijoms (4°C) 25 mg/ml -20°C Nenurodyta
23 Diena
3351
Bandymo lygis B

Švirkštas polipropileno Vanduo injekcijoms (4°C) 25 mg/ml -20°C Apsaugotas nuo šviesos
30 Diena
3818
Bandymo lygis A

Švirkštas polipropileno Vanduo injekcijoms (4°C) 25 mg/ml -20°C Apsaugotas nuo šviesos
28 Diena
4697
Bandymo lygis C

Švirkštas polipropileno Vanduo injekcijoms (4°C) 25 mg/ml 2-8°C Apsaugotas nuo šviesos
48 Valanda
3534
Bandymo lygis A

prieštaringi duomenys
Švirkštas polipropileno Vanduo injekcijoms (4°C) 25 mg/ml 2-8°C Apsaugotas nuo šviesos
3 Diena
3818
Bandymo lygis A

prieštaringi duomenys
Švirkštas polipropileno Vanduo injekcijoms (4°C) 25 mg/ml 2-8°C Apsaugotas nuo šviesos
48 Valanda
4628
Bandymo lygis A+

prieštaringi duomenys
Švirkštas polipropileno Vanduo injekcijoms (4°C) 25 mg/ml 2-8°C Apsaugotas nuo šviesos
4 Diena
4697
Bandymo lygis C

prieštaringi duomenys
Švirkštas polipropileno Vanduo injekcijoms (4°C) 25 mg/ml 20-25°C Apsaugotas nuo šviesos
2 Valanda
4697
Bandymo lygis C

Švirkštas polipropileno Vanduo injekcijoms (4°C) 25 mg/ml 4°C Apsaugotas nuo šviesos
5 Diena
3246
Bandymo lygis A+

prieštaringi duomenys

  Mentions Légales